Đề thi Toán 10
Đề thiToán - Lớp 10
Bộ 10 Đề kiểm tra giữa học kì 2 Toán 10 có đáp án (Mới nhất) (Đề 10)
39 câu hỏi50 lượt thi
Đề thiToán - Lớp 10
Bộ 10 Đề kiểm tra giữa học kì 2 Toán 10 có đáp án (Mới nhất) (Đề 9)
15 câu hỏi43 lượt thi
Đề thiToán - Lớp 10
Bộ 10 Đề kiểm tra giữa học kì 2 Toán 10 có đáp án (Mới nhất) (Đề 8)
40 câu hỏi41 lượt thi
Đề thiToán - Lớp 10
Bộ 10 Đề kiểm tra giữa học kì 2 Toán 10 có đáp án (Mới nhất) (Đề 7)
10 câu hỏi40 lượt thi
Đề thiToán - Lớp 10
Bộ 10 Đề kiểm tra giữa học kì 2 Toán 10 có đáp án (Mới nhất) (Đề 6)
24 câu hỏi32 lượt thi
Đề thiToán - Lớp 10
Bộ 10 Đề kiểm tra giữa học kì 2 Toán 10 có đáp án (Mới nhất) (Đề 5)
27 câu hỏi36 lượt thi
Đề thiToán - Lớp 10
Bộ 10 Đề kiểm tra giữa học kì 2 Toán 10 có đáp án (Mới nhất) (Đề 4)
50 câu hỏi32 lượt thi
Đề thiToán - Lớp 10
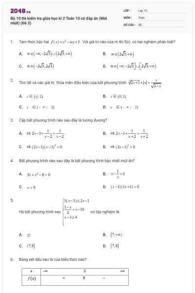
Bộ 10 Đề kiểm tra giữa học kì 2 Toán 10 có đáp án (Mới nhất) (Đề 3)
38 câu hỏi32 lượt thi
Đề thiToán - Lớp 10
Bộ 10 Đề kiểm tra giữa học kì 2 Toán 10 có đáp án (Mới nhất) (Đề 2)
10 câu hỏi34 lượt thi
Đề thiToán - Lớp 10
Bộ 10 Đề kiểm tra giữa học kì 2 Toán 10 có đáp án (Mới nhất) (Đề 1)
10 câu hỏi40 lượt thi
Đề thiToán - Lớp 10
Bộ 4 Đề thi Toán lớp 10 Học kì 1 năm 2020 - 2021 có đáp án (Đề 4)
41 câu hỏi32 lượt thi
Đề thiToán - Lớp 10
Bộ 4 Đề thi Toán lớp 10 Học kì 1 năm 2020 - 2021 có đáp án (Đề 3)
41 câu hỏi25 lượt thi
Đề thiToán - Lớp 10
Bộ 4 Đề thi Toán lớp 10 Học kì 1 năm 2020 - 2021 có đáp án (Đề 2)
40 câu hỏi36 lượt thi
Đề thiToán - Lớp 10
Bộ 4 Đề thi Toán lớp 10 Học kì 1 năm 2020 - 2021 có đáp án (Đề 1)
24 câu hỏi30 lượt thi
Đề thiToán - Lớp 10
Bộ 4 Đề thi Toán lớp 10 Học kì 1 có đáp án (Đề 4)
45 câu hỏi33 lượt thi
Đề thiToán - Lớp 10
Bộ 4 Đề thi Toán lớp 10 Học kì 1 có đáp án (Đề 3)
27 câu hỏi33 lượt thi
Đề thiToán - Lớp 10
Bộ 4 Đề thi Toán lớp 10 Học kì 1 có đáp án (Đề 2)
42 câu hỏi30 lượt thi
Đề thiToán - Lớp 10
Bộ 4 Đề thi Toán lớp 10 Học kì 1 có đáp án (Đề 1)
45 câu hỏi34 lượt thi
Đề thiToán - Lớp 10
30 câu Trắc nghiệm Đề kiểm tra cuối năm Hình học 10 có đáp án
30 câu hỏi31 lượt thi
Đề thiToán - Lớp 10
Đề thi Học kì 2 Toán 10 có đáp án (Đề 4)
14 câu hỏi22 lượt thi
Đề thiToán - Lớp 10
Đề thi Học kì 2 Toán 10 có đáp án (Đề 3)
23 câu hỏi18 lượt thi
Đề thiToán - Lớp 10
Đề thi Học kì 2 Toán 10 có đáp án (Đề 2)
23 câu hỏi24 lượt thi
Đề thiToán - Lớp 10
Đề thi Học kì 2 Toán 10 có đáp án (Đề 1)
24 câu hỏi20 lượt thi






















