Bộ 10 Đề kiểm tra giữa học kì 2 Toán 10 có đáp án (Mới nhất) (Đề 10)
39 câu hỏi
Tập nghiệm của bất phương trình x−2021>2021−x là
2021,+∞.
−∞,2021.
2021.
∅.
Tập nghiệm của bất phương trình 2x2−3x+4x2+3>2 là
34−234; 34+234.
−∞; 34−234∪34+234; +∞.
−23; +∞.
−∞;−23.
Cho a là số thực dương. Mệnh đề nào dưới đây đúng?
x≥a⇔−a≤x≤a.
x≤a⇔x≤a.
x>a⇔x>a.
x≥a⇔x≤−ax≥a.
Số nghiệm nguyên dương của bất phương trình 2−xx+13−x≤0 là
1.
4.
2.
3.
Trong các bất phương trình sau, bất phương trình nào là bất phương trình bậc nhất hai ẩn?
2x−5y+3z≤0.
3x2+2x−4>0.
2x2+5y>3.
2x+3y<5.
Điều kiện xác định của bất phương trình 2xx+1−3−12−x≥1 là
x≤2.
x≠2x≠−4.
x<2x≠−4.
x < 2.
Cho các bất đẳng thức a > b và c > d. Bất đẳng thức nào sau đây đúng
a – c > b – d
a + c > b + d
ac > bd
ac>bd
Tập nghiệm của hệ bất phương trình 4−x≥0x+2≥0 là
S=−∞;−2∪4;+∞.
S=−2;4.
S=2;4.
S=−∞;−2∪4;+∞.
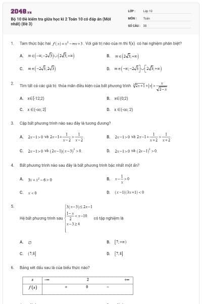
Bảng xét dấu sau là của biểu thức nào?
fx=x−2.
fx=2−4x.
fx=16−8x.
fx=−x−2.
Cho tam giác ABC, có độ dài ba cạnh là BC = a, AC = b, AB = c. Gọi ma là độ dài đường trung tuyến kẻ từ đỉnh A, R là bán kính đường tròn ngoại tiếp tam giác và S là diện tích tam giác đó. Mệnh đề nào sau đây sai?
ma2=b2+c22−a24.
a2=b2+c2+2bccosA.
S=abc4R.
asinA=bsinB=csinC=2R.
Trong các cặp số sau đây, cặp nào không là nghiệm của bất phương trình 2x + y < 1?
(-2;1).
(3;-7).
(0;1).
(0;0).
Tìm giá trị của tham số m để phương trình x2−m−2x+m2−4m=0 có hai nghiệm trái dấu.
0 < m < 4.
m < 0hoặc m > 4.
m > 2.
m < 2.
Tập nghiệm của bất phương trình −x2+x+12≥0 là
−∞ ; −3∪4 ; +∞.
∅.
−∞ ; −4∪3 ; +∞.
−3 ; 4.
Cho tam giác ABC thoả mãn: b2+c2−a2=3bc. Khi đó:
A^=300.
A^=450.
A^=600.
A^=750.
Gọi S=ma2+mb2+mc2 là tổng bình phương độ dài ba trung tuyến của tam giác ABC. Trong các mệnh đề sau mệnh đề nào đúng?
S=34(a2+b2+c2).
S=(a2+b2+c2).
S=32(a2+b2+c2).
S=3(a2+b2+c2).
Trong hệ trục tọa độ Oxy, Véctơ nào là một véctơ pháp tuyến của đường thẳng d:x=−2−ty=−1+2t?
n→-2;-1.
n→2;-1.
n→-1;2.
n→1;2.
Cho đường thẳng Δ: x−2y+3=0. Véc tơ nào sau đây không là véc tơ chỉ phương của Δ?
u→=4 ; −2.
v→=−2 ; −1.
m→=2 ; 1.
q→=4 ; 2.
Trong mặt phẳng tọa độ Oxy, cho đường thẳng cắt hai trục Ox, Oy lần lượt tại hai điểm A(a; 0), B(0; b), a , b≠0. Viết phương trình đường thẳng d.
d:xa−yb=1.
d:xb+ya=1.
d:xa+yb=1.
d:xa+yb=0.
Viết phương trình chính tắc của đường thẳng ∆ đi qua M(1; -3) và nhận vectơ u→1;2 làm vectơ chỉ phương.
Δ:2x−y−5=0.
Δ:x−11=y+32⋅
Δ:x=1+ty=−3+2t⋅
Δ:x+11=y−32⋅
Phần không gạch chéo ở hình sau đây là biểu diễn miền nghiệm của hệ bất phương trình nào trong bốn hệ A. B, C, D?
x+y≤2x−2y≥−4.
x+y≥2x−2y≥−4.
x+y≥2x−2y≤−4.
x+y≤2x−2y≤−4.
Cho x2+y2=1, gọi S = x + y. Khi đó ta có
S≤2
S≥2
−2≤S≤2
−1≤S≤1
Tập nghiệm của bất phương trình 3x−4x−2≤1 là:
S=(1;2]
S=[1;2]
S=[1;2)
S=−∞;1∪2;+∞
Tập nghiệm của bất phương trình 2x−4≤x+12 là
S=−83;+∞
S=−83;16
S=−∞;16
S=−83;16
Cho bất phương trình 2x−13>89. Số nghiệm nguyên nhỏ hơn 13 của bất phương trình là
3.
1.
2.
0.
Bất phương trình: 3x−2x2+1≥0 có tập nghiệm là:
23;+∞.
23;+∞.
−∞;23.
ℝ.
Cho tam giác ABC, các đường cao ha, hb, hc thỏa mãn hệ thức 3ha=2hb+hc. Tìm hệ thức giữa a, b, c.
3a=2b−1c.
3a = 2b + c.
3a = 2b – c.
3a=2b+1c.
Tam giác ABC có A=120° thì câu nào sau đây đúng?
a2 = b2 + c2 – 3bc.
a2 = b2 + c2 + bc.
a2 = b2 + c2 + 3bc.
a2 = b2 + c2 – bc.
Tập xác định của hàm số y=x+2+1x2−x−6 là:
D=(−2;+∞).
D=(−2;3).
D=3;+∞.
D=(−∞;−2].
Nghiệm của bất phương trình x2+x−1x2+4<x2+xx2+4 là:
x > 1.
x < 1.
x > 4.
x∈ℝ.
Giải bất phương trình x+1+x−4>7. Giá trị nghiệm nguyên dương nhỏ nhất của x thoả bất phương trình là
x = 9.
x = 8.
x = 7.
x = 6.
Phương trình của đường thẳng qua A1;4 và cách B−3;1 một khoảng bằng 3 là:
24x + 7y – 52 = 0.
x = 4, y = 4.
y = 4, 24x – 7y + 4 = 0.
x = 4, 24x + 7y – 52 = 0.
Với giá trị nào của m thì 2 đường thẳng sau đây vuông góc?
Δ1:(2m−1)x+my−10=0 và Δ2:3x+2y+6=0
m = 0.
m∈∅.
m = 2.
m=38⋅
Giá trị nhỏ nhất của hàm số f(x)=x2+2x−1 với x > 1 là
2.
52.
22.
3.
Đường thẳng Δ:5x+3y=15 tạo với các trục tọa độ một tam giác có diện tích bằng bao nhiêu?
3.
15.
7,5.
5.
Viết phương trình tổng quát của đường thẳng Δ đi qua điểm M(1;1) và song song với đường thẳng có phương trình d:(2−1)x+y+1=0.
(2−1)x+y=0.
x+(2+1)y−22=0.
(2−1)x−y+22−1=0.
(2−1)x+y−2=0.
Giải bất phương trình x2+x−12<6−x.
Cho tam giác ABC có A^=60°; AB=6, AC=9. Tính diện tích S và đường cao AH của tam giác ABC.
Trong mặt phẳng với hệ tọa độ Oxy cho đường thằng d:3x−4y+1=0. Tìm tọa độ điểm M trên trục Ox sao cho điểm M cách đường thẳng d một khoảng bằng 2.
Cho a, b là các số dương thỏa mãn a2+b2=2. Chứng minh rằng ab+baab2+ba2≥4.








