Lớp
Lớp 1Lớp 2Lớp 3Lớp 4Lớp 5Lớp 6Lớp 7Lớp 8Lớp 9Lớp 10Lớp 11Lớp 12Tốt nghiệp THPTÔn vào 6Ôn vào 10Môn
- ToánToán Lớp 11
- Hàm số lượng giác và phương trình lượng giác
- Tổ hợp - xác suất
- Dãy số - Cấp số cộng và cấp số nhân
- Giới hạn
- Đạo hàm
- Phép dời hình và phép đồng dạng trong mặt phẳng
- Đường thẳng và mặt phẳng trong không gian. Quan hệ song song
- Vectơ trong không gian. Quan hệ vuông góc trong không gian
- Trắc nghiệm tổng hợp Toán 11
- Đề thi Toán 11
- Bài tập Toán lớp 11 (Tự luận)
- Chuyên đề Toán 11
Đạo hàm
QuizToán - Lớp 11
167 câu Trắc nghiệm Toán 11 Dạng 3: Đạo hàm và các bài toán giải pt, bpt có đáp án (Mới nhất)
26 câu hỏi4 lượt thi
QuizToán - Lớp 11
167 câu Trắc nghiệm Toán 11 Dạng 2: Tính đạo hàm bằng công thức có đáp án (Mới nhất)
110 câu hỏi6 lượt thi
QuizToán - Lớp 11
167 câu Trắc nghiệm Toán 11 Dạng 1: tính đạo hàm bằng công thức tại một điểm hoặc bằng mtct có đáp án (Mới nhất)
31 câu hỏi5 lượt thi
QuizToán - Lớp 11
3 câu Trắc nghiệm Toán 11 Bài 2. Ý nghĩa của đạo hàm có đáp án (Mới nhất)
3 câu hỏi8 lượt thi
QuizToán - Lớp 11
32 câu Trắc nghiệm Toán 11 Bài 4: Đạo hàm cấp cao của hàm số có đáp án (Mới nhất)
32 câu hỏi8 lượt thi
QuizToán - Lớp 11
34 câu Trắc nghiệm Toán 11 Bài 4: Trắc nghiệm vi phân của hàm số có đáp án (Mới nhất)
34 câu hỏi5 lượt thi
QuizToán - Lớp 11
109 câu Trắc nghiệm Toán 11 Dạng 2: Tính đạo hàm bằng công thức có đáp án (Mới nhất)
85 câu hỏi7 lượt thi
QuizToán - Lớp 11
109 câu Trắc nghiệm Toán 11 Dạng 1: Tính đạo hàm tại một điểm bằng công thức hoặc bằng mtct có đáp án (Mới nhất)
24 câu hỏi7 lượt thi
QuizToán - Lớp 11
23 câu Trắc nghiệm Toán 11 Bài 1: Trắc nghiệm định nghĩa đạo hàm có đáp án (Mới nhất)
23 câu hỏi7 lượt thi
QuizToán - Lớp 11
12 câu Trắc nghiệm Vi phân có đáp án (Phần 2)
12 câu hỏi6 lượt thi
QuizToán - Lớp 11
23 câu Trắc nghiệm Đạo hàm của các hàm số lượng giác có đáp án (phần 2)
23 câu hỏi8 lượt thi
QuizToán - Lớp 11
13 câu Trắc nghiệm Định nghĩa và ý nghĩa của đạo hàm có đáp án (phần 2)
13 câu hỏi7 lượt thi
QuizToán - Lớp 11
10 câu Trắc nghiệm Đạo hàm cấp hai có đáp án có đáp án
10 câu hỏi8 lượt thi
QuizToán - Lớp 11
28 câu Trắc nghiệm Các quy tắc tính đạo hàm có đáp án (phần 2)
28 câu hỏi7 lượt thi
QuizToán - Lớp 11
10 câu Trắc nghiệm Đại số và Giải tích 11 Bài 5 (Có đáp án): Đạo hàm cấp hai
10 câu hỏi7 lượt thi
QuizToán - Lớp 11
12 câu Trắc nghiệm Đại số và Giải tích 11 Bài 4 (Có đáp án): Vi phân
12 câu hỏi6 lượt thi
QuizToán - Lớp 11
23 câu Trắc nghiệm Đại số và Giải tích 11 Bài 3 (Có đáp án): Đạo hàm của các hàm số lượng giác
23 câu hỏi6 lượt thi
QuizToán - Lớp 11
29 câu Trắc nghiệm Đại số và Giải tích 11 Bài 2 (Có đáp án): Các quy tắc tính đạo hàm
29 câu hỏi7 lượt thi
QuizToán - Lớp 11
14 câu Trắc nghiệm Đại số và Giải tích 11 Bài 1 (Có đáp án): Định nghĩa và ý nghĩa của đạo hàm
14 câu hỏi7 lượt thi
QuizToán - Lớp 11
100 câu trắc nghiệm Đạo hàm nâng cao (P5)
20 câu hỏi7 lượt thi
QuizToán - Lớp 11
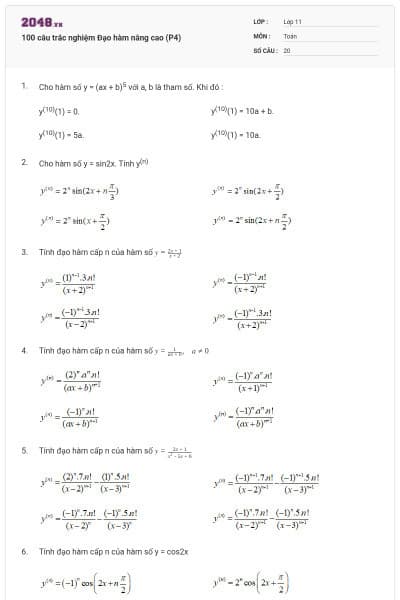
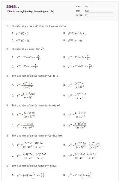
100 câu trắc nghiệm Đạo hàm nâng cao (P4)
20 câu hỏi6 lượt thi
QuizToán - Lớp 11
100 câu trắc nghiệm Đạo hàm nâng cao (P3)
20 câu hỏi6 lượt thi
QuizToán - Lớp 11
100 câu trắc nghiệm Đạo hàm nâng cao (P2)
20 câu hỏi6 lượt thi
QuizToán - Lớp 11
100 câu trắc nghiệm Đạo hàm nâng cao (P1)
20 câu hỏi6 lượt thi















