Phương pháp tọa độ trong không gian
QuizToán - Lớp 12
15 câu Trắc nghiệm Phương trình đường thẳng trong không gian có đáp án (Vận dụng)
15 câu hỏi21 lượt thi
QuizToán - Lớp 12
15 câu Trắc nghiệm Phương trình đường thẳng trong không gian có đáp án (Thông hiểu)
15 câu hỏi23 lượt thi
QuizToán - Lớp 12
20 câu Trắc nghiệm Phương trình đường thẳng trong không gian có đáp án (Nhận biết)
20 câu hỏi17 lượt thi
QuizToán - Lớp 12
20 câu Trắc nghiệm Hệ tọa độ trong không gian có đáp án (Thông hiểu)
20 câu hỏi20 lượt thi
QuizToán - Lớp 12
124 câu Trắc nghiệm Ôn tập Toán 12 Chương 3 Hình học có đáp án (Phần 5)
24 câu hỏi21 lượt thi
QuizToán - Lớp 12
124 câu Trắc nghiệm Ôn tập Toán 12 Chương 3 Hình học có đáp án (Phần 4)
25 câu hỏi24 lượt thi
QuizToán - Lớp 12
124 câu Trắc nghiệm Ôn tập Toán 12 Chương 3 Hình học có đáp án (Phần 3)
25 câu hỏi21 lượt thi
QuizToán - Lớp 12
124 câu Trắc nghiệm Ôn tập Toán 12 Chương 3 Hình học có đáp án (Phần 2)
25 câu hỏi22 lượt thi
QuizToán - Lớp 12
124 câu Trắc nghiệm Ôn tập Toán 12 Chương 3 Hình học có đáp án (Phần 1)
25 câu hỏi25 lượt thi
QuizToán - Lớp 12
15 câu Trắc nghiệm Ôn tập Toán 12 Chương 3 Hình học có đáp án (Vận dụng)
15 câu hỏi24 lượt thi
QuizToán - Lớp 12
15 câu Trắc nghiệm Ôn tập Toán 12 Chương 3 Hình học có đáp án (Thông hiểu)
15 câu hỏi18 lượt thi
QuizToán - Lớp 12
15 câu Trắc nghiệm Ôn tập Toán 12 Chương 3 Hình học có đáp án (Nhận biết)
15 câu hỏi18 lượt thi
QuizToán - Lớp 12
20 câu Trắc nghiệm Hệ tọa độ trong không gian có đáp án (Nhận biết)
20 câu hỏi20 lượt thi
QuizToán - Lớp 12
66 câu trắc nghiệm: Phương trình mặt phẳng có đáp án (P2)
29 câu hỏi18 lượt thi
QuizToán - Lớp 12
66 câu trắc nghiệm: Phương trình mặt phẳng có đáp án (P1)
31 câu hỏi17 lượt thi
QuizToán - Lớp 12
60 câu trắc nghiệm: Hệ tọa độ trong không gian có đáp án (P2)
30 câu hỏi25 lượt thi
QuizToán - Lớp 12
37 câu trắc nghiệm: Ôn tập cuối năm Hình học 12 có đáp án
36 câu hỏi19 lượt thi
QuizToán - Lớp 12
60 câu trắc nghiệm: Hệ tọa độ trong không gian có đáp án (P1)
30 câu hỏi15 lượt thi
QuizToán - Lớp 12
200 câu trắc nghiệm Phương pháp tọa độ trong không gian nâng cao (P8)
21 câu hỏi21 lượt thi
QuizToán - Lớp 12
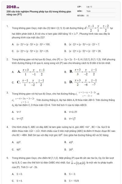
200 câu trắc nghiệm Phương pháp tọa độ trong không gian nâng cao (P7)
25 câu hỏi19 lượt thi
QuizToán - Lớp 12
200 câu trắc nghiệm Phương pháp tọa độ trong không gian nâng cao (P6)
25 câu hỏi14 lượt thi
QuizToán - Lớp 12
200 câu trắc nghiệm Phương pháp tọa độ trong không gian nâng cao (P5)
25 câu hỏi20 lượt thi























