Số phức
Đề thiToán - Lớp 12
Bài 4: Phương trình bậc hai với hệ số thực
16 câu hỏi2 lượt thi
Đề thiToán - Lớp 12
Bài 3: Phép chia số phức
14 câu hỏi5 lượt thi
Đề thiToán - Lớp 12
Bài 2: Phép cộng và nhân các số phức
19 câu hỏi8 lượt thi
Đề thiToán - Lớp 12
Giải sbt Giải tích 12 Bài tập ôn tập chương 4
15 câu hỏi5 lượt thi
Đề thiToán - Lớp 12
Giải sbt Giải tích 12 Bài 4: Phương trình bậc hai với hệ số thực
8 câu hỏi2 lượt thi
Đề thiToán - Lớp 12
Giải sbt Giải tích 12 Bài 3: Phép chia số phức
8 câu hỏi2 lượt thi
Đề thiToán - Lớp 12
Giải sbt Giải tích 12 Bài 2: Phép cộng và nhân các số phức
11 câu hỏi4 lượt thi
Đề thiToán - Lớp 12
46 câu trắc nghiệm Ôn tập Giải tích 12 có đáp án
46 câu hỏi2 lượt thi
Đề thiToán - Lớp 12
14 câu trắc nghiệm: Ôn tập chương 4 có đáp án
14 câu hỏi2 lượt thi
Đề thiToán - Lớp 12
12 câu trắc nghiệm: Phương trình bậc hai với hệ số thực có đáp án
12 câu hỏi3 lượt thi
Đề thiToán - Lớp 12
11 câu trắc nghiệm: Phép chia số phức có đáp án
11 câu hỏi2 lượt thi
Đề thiToán - Lớp 12
17 câu trắc nghiệm: Cộng, trừ và nhân số phức có đáp án
17 câu hỏi2 lượt thi
Đề thiToán - Lớp 12
16 câu trắc nghiệm: Số phức có đáp án
16 câu hỏi3 lượt thi
Đề thiToán - Lớp 12
21 câu hỏi Bài tập Số phức cực hay có lời giải chi tiết (P1)
16 câu hỏi3 lượt thi
Đề thiToán - Lớp 12
100 câu trắc nghiệm Số phức nâng cao (P4)
26 câu hỏi3 lượt thi
Đề thiToán - Lớp 12
100 câu trắc nghiệm Số phức nâng cao (P3)
25 câu hỏi2 lượt thi
Đề thiToán - Lớp 12
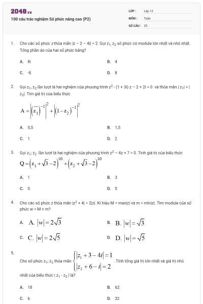
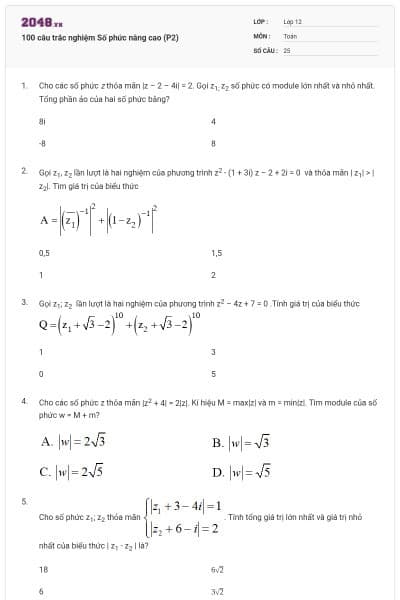
100 câu trắc nghiệm Số phức nâng cao (P2)
25 câu hỏi1 lượt thi
Đề thiToán - Lớp 12
100 câu trắc nghiệm Số phức nâng cao (P1)
25 câu hỏi1 lượt thi
Đề thiToán - Lớp 12
125 câu trắc nghiệm Số phức cơ bản (P5)
24 câu hỏi4 lượt thi
Đề thiToán - Lớp 12
125 câu trắc nghiệm Số phức cơ bản (P4)
25 câu hỏi3 lượt thi
Đề thiToán - Lớp 12
125 câu trắc nghiệm Số phức cơ bản (P3)
25 câu hỏi2 lượt thi
Đề thiToán - Lớp 12
125 câu trắc nghiệm Số phức cơ bản (P2)
30 câu hỏi3 lượt thi
Đề thiToán - Lớp 12
125 câu trắc nghiệm Số phức cơ bản (P1)
30 câu hỏi3 lượt thi
Ngân hàng đề thi























