Ứng dụng đạo hàm để khảo sát và vẽ đồ thị của hàm số
Đề thiToán - Lớp 12
50 câu Trắc nghiệm Toán 12 Bài 2: Cực trị của hàm số có đáp án (Mới nhất) (Đề 2)
50 câu hỏi42 lượt thi
Đề thiToán - Lớp 12
45 câu Trắc nghiệm Toán 12 Bài 2: Cực trị của hàm số có đáp án (Mới nhất) (Đề 1)
45 câu hỏi31 lượt thi
Đề thiToán - Lớp 12
40 câu Trắc nghiệm Toán 12 Bài 3: Giá trị lớn nhất giá trị nhỏ nhất của hàm số có đáp án (Mới nhất)
40 câu hỏi27 lượt thi
Đề thiToán - Lớp 12
55 câu Trắc nghiệm Toán 12 Bài 4: Đường tiệm cận có đáp án (Mới nhất)
55 câu hỏi36 lượt thi
Đề thiToán - Lớp 12
65 câu Trắc nghiệm Toán 12 Bài 1: Sự đồng biến, nghịch biến của hàm số có đáp án (Mới nhất)
65 câu hỏi45 lượt thi
Đề thiToán - Lớp 12
25 câu Trắc nghiệm Cực trị của hàm số có đáp án (P2) (Vận dụng)
10 câu hỏi31 lượt thi
Đề thiToán - Lớp 12
29 câu Trắc nghiệm Cực trị của hàm số có đáp án (P2) (Thông hiểu)
14 câu hỏi38 lượt thi
Đề thiToán - Lớp 12
30 câu Trắc nghiệm Cực trị của hàm số có đáp án (P2) (Nhận biết)
15 câu hỏi32 lượt thi
Đề thiToán - Lớp 12
34 câu Trắc nghiệm Ôn tập Toán 12 Chương 1 có đáp án (P2) (Nhận biết)
14 câu hỏi60 lượt thi
Đề thiToán - Lớp 12
35 câu Trắc nghiệm Ôn tập Toán 12 Chương 1 có đáp án (P2) (Thông hiểu)
15 câu hỏi51 lượt thi
Đề thiToán - Lớp 12
35 câu Trắc nghiệm Ôn tập Toán 12 Chương 1 có đáp án (P2) (Vận dụng)
15 câu hỏi34 lượt thi
Đề thiToán - Lớp 12
25 câu Trắc nghiệm Đường tiệm cận có đáp án (P2) (Vận dụng)
10 câu hỏi37 lượt thi
Đề thiToán - Lớp 12
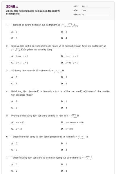
30 câu Trắc nghiệm Đường tiệm cận có đáp án (P2) (Thông hiểu)
15 câu hỏi38 lượt thi
Đề thiToán - Lớp 12
15 câu Trắc nghiệm Đường tiệm cận có đáp án (P2) (Nhận biết)
15 câu hỏi31 lượt thi
Đề thiToán - Lớp 12
30 câu Trắc nghiệm Giá trị lớn nhất và giá trị nhỏ nhất của hàm số có đáp án (P2) (Nhận biết)
15 câu hỏi36 lượt thi
Đề thiToán - Lớp 12
30 câu Trắc nghiệm Giá trị lớn nhất và giá trị nhỏ nhất của hàm số có đáp án (P2) (Thông hiểu)
15 câu hỏi38 lượt thi
Đề thiToán - Lớp 12
25 câu Trắc nghiệm Giá trị lớn nhất và giá trị nhỏ nhất của hàm số có đáp án (P2) (Vận dụng)
10 câu hỏi33 lượt thi
Đề thiToán - Lớp 12
63 câu Trắc nghiệm Cực trị của hàm số có đáp án (P2)
33 câu hỏi28 lượt thi
Đề thiToán - Lớp 12
63 câu Trắc nghiệm Cực trị của hàm số có đáp án (P1)
30 câu hỏi34 lượt thi
Đề thiToán - Lớp 12
25 câu Trắc nghiệm Cực trị của hàm số có đáp án (P1) (Vận dụng)
15 câu hỏi37 lượt thi
Đề thiToán - Lớp 12
29 câu Trắc nghiệm Cực trị của hàm số có đáp án (P1) (Thông hiểu)
15 câu hỏi37 lượt thi
Đề thiToán - Lớp 12
30 câu Trắc nghiệm Cực trị của hàm số có đáp án (P1) (Nhận biết)
15 câu hỏi26 lượt thi























