Bất đẳng thức. Bất phương trình
Đề thiToán - Lớp 10
10 câu Trắc nghiệm Bất đẳng thức có đáp án (Vận dụng)
10 câu hỏi4 lượt thi
Đề thiToán - Lớp 10
12 câu Trắc nghiệm Bất đẳng thức có đáp án (Thông hiểu)
12 câu hỏi4 lượt thi
Đề thiToán - Lớp 10
10 câu Trắc nghiệm Bất đẳng thức có đáp án (Nhận biết)
10 câu hỏi4 lượt thi
Đề thiToán - Lớp 10
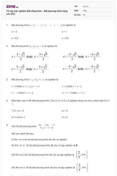
75 câu trắc nghiệm Bất đẳng thức - Bất phương trình cơ bản
80 câu hỏi3 lượt thi
Đề thiToán - Lớp 10
31 câu Trắc nghiệm Toán 10 Bài 2 (có đáp án): Bất phương trình và hệ bất phương trình một ẩn
31 câu hỏi3 lượt thi
Đề thiToán - Lớp 10
40 câu Trắc nghiệm Dấu của tam thức bậc hai có đáp án
40 câu hỏi5 lượt thi
Đề thiToán - Lớp 10
9 câu Trắc nghiệm Bất phương trình bậc nhất hai ẩn 10 có đáp án
9 câu hỏi6 lượt thi
Đề thiToán - Lớp 10
Ôn tập chương IV
40 câu hỏi5 lượt thi
Đề thiToán - Lớp 10
Khái niệm và tính chất bất đẳng thức
32 câu hỏi3 lượt thi
Đề thiToán - Lớp 10
20 câu Trắc nghiệm Dấu của nhị thức bất phương trình có đáp án
20 câu hỏi4 lượt thi
Đề thiToán - Lớp 10
Bất phương trình và hệ bất phương trình một ẩn có đáp án
31 câu hỏi8 lượt thi
Đề thiToán - Lớp 10
Bất phương trình bậc nhất hai ẩn
9 câu hỏi5 lượt thi
Đề thiToán - Lớp 10
Giải sbt Đại số 10 Ôn tập chương 4
10 câu hỏi5 lượt thi
Đề thiToán - Lớp 10
Giải sbt Đại số 10 Bài 5: Dấu của tam thức bậc hai
41 câu hỏi4 lượt thi
Đề thiToán - Lớp 10
Giải sbt Đại số 10 Bài 4: Bất phương trình bậc nhất hai ẩn
10 câu hỏi11 lượt thi
Đề thiToán - Lớp 10
Giải sbt Đại số 10 Bài 3: Dấu của nhị thức bậc nhất
12 câu hỏi10 lượt thi
Đề thiToán - Lớp 10
Giải sbt Đại số 10 Bài 2: Bất phương trình và hệ bất phương trình một ẩn
21 câu hỏi9 lượt thi
Đề thiToán - Lớp 10
Ôn tập chương 4
14 câu hỏi4 lượt thi
Đề thiToán - Lớp 10
Bài 5: Dấu của tam thức bậc hai
21 câu hỏi4 lượt thi
Đề thiToán - Lớp 10
Bài 4: Bất phương trình bậc nhất hai ẩn
7 câu hỏi3 lượt thi
Đề thiToán - Lớp 10
Bài 3: Dấu của nhị thức bậc nhất
13 câu hỏi3 lượt thi
Đề thiToán - Lớp 10
Bài 2: Bất phương trình và hệ bất phương trình một ẩn
16 câu hỏi4 lượt thi
Đề thiToán - Lớp 10
Bài 1: Bất đẳng thức
11 câu hỏi4 lượt thi
Ngân hàng đề thi























