Ôn tập Toán 12 Chương 2
Đề thiToán - Lớp 12
39 câu Trắc nghiệm Ôn tập chương II có đáp án (Phần 2)
19 câu hỏi5 lượt thi
Đề thiToán - Lớp 12
39 câu Trắc nghiệm Ôn tập chương II có đáp án (Phần 1)
20 câu hỏi6 lượt thi
Đề thiToán - Lớp 12
15 câu Trắc nghiệm Ôn tập chương II có đáp án (Nhận biết)
15 câu hỏi7 lượt thi
Đề thiToán - Lớp 12
Bài tập ôn tập chương 2
71 câu hỏi6 lượt thi
Đề thiToán - Lớp 12
Giải sbt Giải tích 12 Bài tập ôn tập chương 2
41 câu hỏi6 lượt thi
Đề thiToán - Lớp 12
40 câu trắc nghiệm: Ôn tập chương 2 có đáp án
40 câu hỏi5 lượt thi
Đề thiToán - Lớp 12
200 câu trắc nghiệm Hàm số mũ và Logarit nâng cao (P8)
24 câu hỏi7 lượt thi
Đề thiToán - Lớp 12
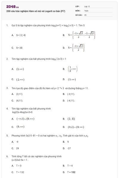
200 câu trắc nghiệm Hàm số mũ và Logarit nâng cao (P7)
25 câu hỏi7 lượt thi
Đề thiToán - Lớp 12
200 câu trắc nghiệm Hàm số mũ và Logarit nâng cao (P6)
25 câu hỏi4 lượt thi
Đề thiToán - Lớp 12
200 câu trắc nghiệm Hàm số mũ và Logarit nâng cao (P5)
25 câu hỏi5 lượt thi
Đề thiToán - Lớp 12
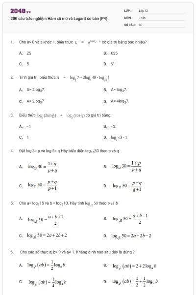
200 câu trắc nghiệm Hàm số mũ và Logarit nâng cao (P4)
25 câu hỏi3 lượt thi
Đề thiToán - Lớp 12
200 câu trắc nghiệm Hàm số mũ và Logarit nâng cao (P3)
25 câu hỏi13 lượt thi
Đề thiToán - Lớp 12
200 câu trắc nghiệm Hàm số mũ và Logarit nâng cao (P2)
25 câu hỏi10 lượt thi
Đề thiToán - Lớp 12
200 câu trắc nghiệm Hàm số mũ và Logarit nâng cao (P1)
25 câu hỏi24 lượt thi
Đề thiToán - Lớp 12
200 câu trắc nghiệm Hàm số mũ và Logarit cơ bản (P8)
25 câu hỏi4 lượt thi
Đề thiToán - Lớp 12
200 câu trắc nghiệm Hàm số mũ và Logarit cơ bản (P7)
25 câu hỏi3 lượt thi
Đề thiToán - Lớp 12
200 câu trắc nghiệm Hàm số mũ và Logarit cơ bản (P6)
25 câu hỏi5 lượt thi
Đề thiToán - Lớp 12
200 câu trắc nghiệm Hàm số mũ và Logarit cơ bản (P5)
26 câu hỏi5 lượt thi
Đề thiToán - Lớp 12
200 câu trắc nghiệm Hàm số mũ và Logarit cơ bản (P4)
30 câu hỏi4 lượt thi
Đề thiToán - Lớp 12
200 câu trắc nghiệm Hàm số mũ và Logarit cơ bản (P3)
30 câu hỏi5 lượt thi
Đề thiToán - Lớp 12
200 câu trắc nghiệm Hàm số mũ và Logarit cơ bản (P2)
30 câu hỏi6 lượt thi
Đề thiToán - Lớp 12
200 câu trắc nghiệm Hàm số mũ và Logarit cơ bản (P1)
30 câu hỏi3 lượt thi
Ngân hàng đề thi





















