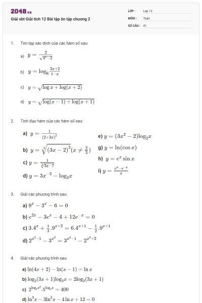
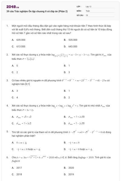
200 câu trắc nghiệm Hàm số mũ và Logarit nâng cao (P1)
25 câu hỏi
Cho x > 0 và y > 0. Viết biểu thức x45.x5x6; về dạng xm và biểu thức y45:y5y6 về dạng yn. Ta có m – n = ?
-11/6
11/6
8/5
-8/5
Viết biểu thức 2284 về dạng 2x và biểu thức 2843 về dạng 2y. Ta có x + y bằng
2017567
116
5324
2017576
Đơn giản biểu thức A=a31a2a333 ta được:
A=a56
A=a1718
A=a59
A=a516
Cho a + b = 1 thì 4a4a+2+4b4b+2 bằng
4.
2.
3.
1.
Đơn giản biểu thức A=1-2ba+ba:b-a2 ta được:
A = a - b
A = a
A = 1/a
A = a + b
Biết 4x + 4-x = 23 tính giá trị của biểu thức P = 2x + 2-x:
5
27
23
25
Đơn giản biểu thức: A=a13b+b13aa6+b6 (a;b>0) ta được:
A=ab
A=ab3
A=ab6
A=a6-b6
Đặt log23 = a và log35 = b. Hãy biểu diễn log1215 theo a và b.
log1215=a+abb+2
log1215=a+aba+2
log1215=a+bab+2a
log1215=a+bab+2b
Đặt a = log23 ; b = log53 . Hãy biểu diễn log645 theo a và b.
log645=a+2abab
log645=2a2-2abab
log645=a+2abab+b
log645=2a2-2abab+b
Cho a = log35; b = log75. Khi đó khẳng định nào sau đây đúng?
log1521=a+bab+b
log1521=a+ba+1
log1521=a-ba+1
log1521=a-bab+b
Cho a = log23; b = log35 . Khi đó log1290 tính theo a; b bằng:
ab+2a+1a-2
ab-2a+1a-2
ab-2a+1a+2
ab+2a+1a+2
Cho a = log53; b = log75 . Tính log15105 theo a và b.
log15105=1+a+ab(1+a)b
log15105=1+b+ab1+a
log15105=a+b+1b(1+a)
log15105=1+b+ab(1+a)b
Cho a = log32 và b = log35. Tính log10 60 theo a và b.
2a+b+1a+b
2a+b-1a+b
2a-b+1a+b
a+b+1a+b
Nếu log83 = p và log35 = q thì log 5 bằng:
1+3pqp+q
3pq1+3pq
p.q
3p+q5
Biết log275 = a; log87 = b; log23 = c thì log12 35 tính theo a; b; c bằng:
3(b+ac)c+2
3b+2acc+1
3b+2acc+2
3(b+ac)c+1
Cho log23 = a; log35 = b; log72 = c . Hãy tính log14063 theo a; b; c
2ac+1abc+2c+1
2ac+1abc+2c-1
2ac-1abc+2c+1
2ac+1abc-2c+1
Cho logba = x và logbc = y . Hãy biểu diễn loga2b5c43 theo x và y:
loga2b5c43=5+4y6x
loga2b5c43=20y3x
loga2b5c43=5+3y43x2
loga2b5c43=20x+20y3
Cho m=logaab3, với a> 1 ; b> 1 và P=loga2 b+16logba. Tìm m sao cho P đạt giá trị nhỏ nhất.
m = 1.
m = 1/2 .
m = 4.
m = 2.
Cho log26 = a và log35 = b . Hãy tính log1220 theo a,b.
log1220=ab-b+22(a+1)
log1220=ab+b-22(a+1)
log1220=ab+b-22(a-1)
log1220=ab-b+22(a-1)
Cho các số thực a; b > 0. Khẳng định nào sau đây là đúng ?
logabab=1+logab2+logab
logabab=2+logab1+logab
logabab=2+2logab2+logab
logabab=2+logab2+2logab
Cho các số thực dương x; y > 0 thỏa mãn x2 + y2 = 8xy. Khẳng định nào sau đây là đúng ?
log(x+y)=1+logx+logy2
log( x + y) = logx + log y + 1
log(x + y) = logx + logy - 1
log(x + y) = 10( logx + logy)
Cho các số thực dương x; y thỏa mãn x2 + y2 = 14. Khẳng định nào sau đây là đúng ?
log2x+y14=log2x+log2y
log2x+y16=x+log2y
log2(x+y)=log2x+log2y2
log2x+y=2+log2xy2
Cho các số thực x; y và x2 + y2 = 3xy. Khẳng định nào sau đây là đúng
log5x+y=1+log5xy2
log5x+y=1+log5x+log5y2
log5(x + y) 2 = 1 + log5( xy)
Tất cả đều đúng
Cho logax = p; logbx = q; logcx = r ( a; b; c ≠ 1 và x > 0) . Hãy tính logabcx
logabcx=pqrpq+qr+rp
logabcx=pqr
logabcx=pqrp+q+r
logabcx=pq+qr+rpp+q+r
Rút gọn biểu thức: A=logb3a+2 logb2a+logbalogab-logabb-logba là:
0
1
3
2
Gợi ý cho bạn
Xem tất cảNgân hàng đề thi








