Lớp
Lớp 1Lớp 2Lớp 3Lớp 4Lớp 5Lớp 6Lớp 7Lớp 8Lớp 9Lớp 10Lớp 11Lớp 12Tốt nghiệp THPTÔn vào 6Ôn vào 10Môn
- ToánToán Lớp 9
- Căn bậc hai. Căn bậc ba
- Hàm số bậc nhất
- Hệ hai phương trình bậc nhất hai ẩn
- Hàm số y = ax^2 (a ≠ 0) - Phương trình bậc hai một ẩn
- Hệ thức lượng trong tam giác vuông
- Đường tròn
- Góc với đường tròn
- Hình trụ - Hình nón - Hình cầu
- Chuyên đề Toán 9
- Bài tập theo tuần toán 9
- Tổng hợp các dạng Toán 9
- Trắc nghiệm tổng hợp Toán 9
- Tổng hợp đề thi vào lớp 10 môn Toán
- Đề thi Toán 9
Đề thi Toán 9 Học kì 2 có đáp án
QuizToán - Lớp 9
Tổng hợp đề thi giữa học kì 2 Toán 9 hay nhất năm 2023 có đáp án (Đề 19)
5 câu hỏi10 lượt thi
QuizToán - Lớp 9
Tổng hợp đề thi giữa học kì 2 Toán 9 hay nhất năm 2023 có đáp án (Đề 18)
5 câu hỏi14 lượt thi
QuizToán - Lớp 9
Tổng hợp đề thi giữa học kì 2 Toán 9 hay nhất năm 2023 có đáp án (Đề 17)
2 câu hỏi12 lượt thi
QuizToán - Lớp 9
Tổng hợp đề thi giữa học kì 2 Toán 9 hay nhất năm 2023 có đáp án (Đề 16)
3 câu hỏi10 lượt thi
QuizToán - Lớp 9
Tổng hợp đề thi giữa học kì 2 Toán 9 hay nhất năm 2023 có đáp án (Đề 15)
5 câu hỏi11 lượt thi
QuizToán - Lớp 9
Tổng hợp đề thi giữa học kì 2 Toán 9 hay nhất năm 2023 có đáp án (Đề 14)
4 câu hỏi14 lượt thi
QuizToán - Lớp 9
Tổng hợp đề thi giữa học kì 2 Toán 9 hay nhất năm 2023 có đáp án (Đề 13)
5 câu hỏi11 lượt thi
QuizToán - Lớp 9
Đề kiểm tra giữa học kì 2 môn Toán 9 (Mới nhất)_đề 24
4 câu hỏi12 lượt thi
QuizToán - Lớp 9
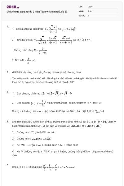
Đề kiểm tra giữa học kì 2 môn Toán 9 (Mới nhất)_đề 23
5 câu hỏi12 lượt thi
QuizToán - Lớp 9
Đề kiểm tra giữa học kì 2 môn Toán 9 (Mới nhất)_đề 22
4 câu hỏi12 lượt thi
QuizToán - Lớp 9
Tổng hợp đề thi giữa học kì 2 Toán 9 hay nhất năm 2023 có đáp án (Đề 12)
8 câu hỏi11 lượt thi
QuizToán - Lớp 9
Đề thi Giữa học kỳ 2 Toán 9 - Đề 51 có đáp án
5 câu hỏi12 lượt thi
QuizToán - Lớp 9
Tổng hợp đề thi giữa học kì 2 Toán 9 hay nhất năm 2023 có đáp án (Đề 11)
4 câu hỏi11 lượt thi
QuizToán - Lớp 9
Tổng hợp đề thi giữa học kì 2 Toán 9 hay nhất năm 2023 có đáp án (Đề 10)
5 câu hỏi10 lượt thi
QuizToán - Lớp 9
Tổng hợp đề thi giữa học kì 2 Toán 9 hay nhất năm 2023 có đáp án (Đề 9)
5 câu hỏi11 lượt thi
QuizToán - Lớp 9
Tổng hợp đề thi giữa học kì 2 Toán 9 hay nhất năm 2023 có đáp án (Đề 8)
5 câu hỏi11 lượt thi
QuizToán - Lớp 9
Tổng hợp đề thi giữa học kì 2 Toán 9 hay nhất năm 2023 có đáp án (Đề 7)
5 câu hỏi10 lượt thi
QuizToán - Lớp 9
Tổng hợp đề thi giữa học kì 2 Toán 9 hay nhất năm 2023 có đáp án (Đề 6)
5 câu hỏi13 lượt thi
QuizToán - Lớp 9
Tổng hợp đề thi giữa học kì 2 Toán 9 hay nhất năm 2023 có đáp án (Đề 5)
4 câu hỏi11 lượt thi
QuizToán - Lớp 9
Tổng hợp đề thi giữa học kì 2 Toán 9 hay nhất năm 2023 có đáp án (Đề 4)
5 câu hỏi10 lượt thi
QuizToán - Lớp 9
Tổng hợp đề thi giữa học kì 2 Toán 9 hay nhất năm 2023 có đáp án (Đề 3)
7 câu hỏi11 lượt thi
QuizToán - Lớp 9
Tổng hợp đề thi giữa học kì 2 Toán 9 hay nhất năm 2023 có đáp án (Đề 2)
8 câu hỏi10 lượt thi
QuizToán - Lớp 9
Tổng hợp đề thi giữa học kì 2 Toán 9 hay nhất năm 2023 có đáp án (Đề 1)
5 câu hỏi11 lượt thi
QuizToán - Lớp 9
Đề thi Học kì 2 Toán 9 có đáp án năm 2022-2023 (Đề 30)
17 câu hỏi9 lượt thi























