Lớp
Lớp 1Lớp 2Lớp 3Lớp 4Lớp 5Lớp 6Lớp 7Lớp 8Lớp 9Lớp 10Lớp 11Lớp 12Tốt nghiệp THPTÔn vào 6Ôn vào 10Môn
- ToánToán Lớp 9 Chân trời sáng tạo
- Phương trình và hệ phương trình
- Bất đẳng thức. Bất phương trình bậc nhất một ẩn
- Căn thức
- Hệ thức lượng trong tam giác vuông
- Đường tròn
- Hoạt động thực hành và trải nghiệm
- Hàm số y = ax^2 (a ≠ 0) và Phương trình bậc hai một ẩn
- Một số yếu tố thống kê
- Một số yếu tố xác suất
- Tứ giác nội tiếp. Đa giác đều
- Các hình khối trong thực tiễn
- Đề cương ôn tập Toán 9 - Chân trời sáng tạo
- Đề thi học kì Toán 9 - Chân trời sáng tạo
Đề thi học kì 1 Toán 9 - Chân trời sáng tạo có đáp án
QuizToán - Lớp 9
Bộ 5 đề thi cuối kì 1 Toán 9 Chân trời sáng tạo cấu trúc mới có đáp án - Đề 5
21 câu hỏi24 lượt thi
QuizToán - Lớp 9
Bộ 5 đề thi cuối kì 1 Toán 9 Chân trời sáng tạo cấu trúc mới có đáp án - Đề 4
21 câu hỏi20 lượt thi
QuizToán - Lớp 9
Bộ 5 đề thi cuối kì 1 Toán 9 Chân trời sáng tạo cấu trúc mới có đáp án - Đề 3
21 câu hỏi24 lượt thi
QuizToán - Lớp 9
Bộ 5 đề thi cuối kì 1 Toán 9 Chân trời sáng tạo cấu trúc mới có đáp án - Đề 2
21 câu hỏi21 lượt thi
QuizToán - Lớp 9
Bộ 5 đề thi cuối kì 1 Toán 9 Chân trời sáng tạo cấu trúc mới có đáp án - Đề 1
21 câu hỏi23 lượt thi
QuizToán - Lớp 9
Bộ 5 đề thi giữa kì 1 Toán 9 Chân trời sáng tạo cấu trúc mới có đáp án - Đề 5
21 câu hỏi23 lượt thi
QuizToán - Lớp 9
Bộ 5 đề thi giữa kì 1 Toán 9 Chân trời sáng tạo cấu trúc mới có đáp án - Đề 4
21 câu hỏi18 lượt thi
QuizToán - Lớp 9
Bộ 5 đề thi giữa kì 1 Toán 9 Chân trời sáng tạo cấu trúc mới có đáp án - Đề 3
21 câu hỏi17 lượt thi
QuizToán - Lớp 9
Bộ 5 đề thi giữa kì 1 Toán 9 Chân trời sáng tạo cấu trúc mới có đáp án - Đề 2
21 câu hỏi20 lượt thi
QuizToán - Lớp 9
Bộ 5 đề thi giữa kì 1 Toán 9 Chân trời sáng tạo cấu trúc mới có đáp án - Đề 1
21 câu hỏi17 lượt thi
QuizToán - Lớp 9
Bộ 10 đề thi giữa kì 1 Toán 9 Chân trời sáng tạo có đáp án (Đề 10)
13 câu hỏi22 lượt thi
QuizToán - Lớp 9
Bộ 10 đề thi giữa kì 1 Toán 9 Chân trời sáng tạo có đáp án (Đề 9)
13 câu hỏi20 lượt thi
QuizToán - Lớp 9
Bộ 10 đề thi giữa kì 1 Toán 9 Chân trời sáng tạo có đáp án (Đề 8)
11 câu hỏi20 lượt thi
QuizToán - Lớp 9
Bộ 10 đề thi giữa kì 1 Toán 9 Chân trời sáng tạo có đáp án (Đề 7)
11 câu hỏi19 lượt thi
QuizToán - Lớp 9
Bộ 10 đề thi giữa kì 1 Toán 9 Chân trời sáng tạo có đáp án (Đề 6)
11 câu hỏi18 lượt thi
QuizToán - Lớp 9
Bộ 10 đề thi giữa kì 1 Toán 9 Chân trời sáng tạo có đáp án (Đề 5)
17 câu hỏi20 lượt thi
QuizToán - Lớp 9
Bộ 10 đề thi giữa kì 1 Toán 9 Chân trời sáng tạo có đáp án (Đề 4)
17 câu hỏi17 lượt thi
QuizToán - Lớp 9
Bộ 10 đề thi giữa kì 1 Toán 9 Chân trời sáng tạo có đáp án (Đề 3)
14 câu hỏi21 lượt thi
QuizToán - Lớp 9
Bộ 10 đề thi giữa kì 1 Toán 9 Chân trời sáng tạo có đáp án (Đề 2)
14 câu hỏi18 lượt thi
QuizToán - Lớp 9
Bộ 10 đề thi giữa kì 1 Toán 9 Chân trời sáng tạo có đáp án (Đề 1)
14 câu hỏi14 lượt thi
QuizToán - Lớp 9
Bộ 10 đề thi cuối kì 1 Toán 9 Chân trời sáng tạo có đáp án - Đề 10
17 câu hỏi22 lượt thi
QuizToán - Lớp 9
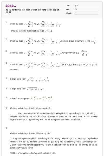
Bộ 10 đề thi cuối kì 1 Toán 9 Chân trời sáng tạo có đáp án - Đề 09
17 câu hỏi20 lượt thi
QuizToán - Lớp 9
Bộ 10 đề thi cuối kì 1 Toán 9 Chân trời sáng tạo có đáp án - Đề 08
19 câu hỏi21 lượt thi
QuizToán - Lớp 9
Bộ 10 đề thi cuối kì 1 Toán 9 Chân trời sáng tạo có đáp án - Đề 07
18 câu hỏi19 lượt thi























