Lớp
Lớp 1Lớp 2Lớp 3Lớp 4Lớp 5Lớp 6Lớp 7Lớp 8Lớp 9Lớp 10Lớp 11Lớp 12Tốt nghiệp THPTÔn vào 6Ôn vào 10Môn
- ToánToán Lớp 9 Chân trời sáng tạo
- Phương trình và hệ phương trình
- Bất đẳng thức. Bất phương trình bậc nhất một ẩn
- Căn thức
- Hệ thức lượng trong tam giác vuông
- Đường tròn
- Hoạt động thực hành và trải nghiệm
- Hàm số y = ax^2 (a ≠ 0) và Phương trình bậc hai một ẩn
- Một số yếu tố thống kê
- Một số yếu tố xác suất
- Tứ giác nội tiếp. Đa giác đều
- Các hình khối trong thực tiễn
- Đề cương ôn tập Toán 9 - Chân trời sáng tạo
- Đề thi học kì Toán 9 - Chân trời sáng tạo
Đề thi học kì 1 Toán 9 - Chân trời sáng tạo có đáp án
QuizToán - Lớp 9
Bộ 10 đề thi cuối kì 1 Toán 9 Chân trời sáng tạo có đáp án - Đề 06
19 câu hỏi18 lượt thi
QuizToán - Lớp 9
Bộ 10 đề thi cuối kì 1 Toán 9 Chân trời sáng tạo có đáp án - Đề 05
23 câu hỏi25 lượt thi
QuizToán - Lớp 9
Bộ 10 đề thi cuối kì 1 Toán 9 Chân trời sáng tạo có đáp án - Đề 04
24 câu hỏi16 lượt thi
QuizToán - Lớp 9
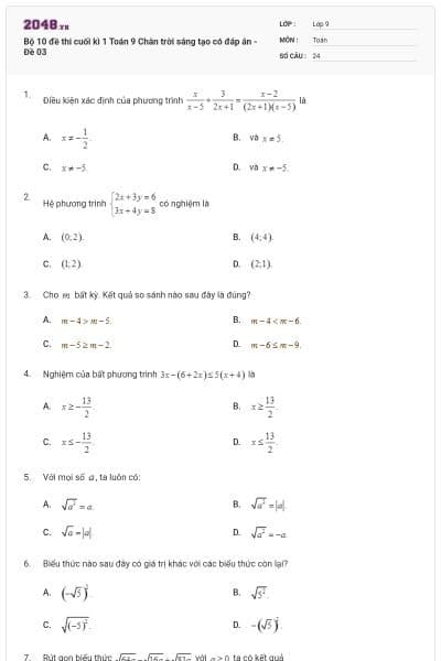
Bộ 10 đề thi cuối kì 1 Toán 9 Chân trời sáng tạo có đáp án - Đề 03
24 câu hỏi11 lượt thi
QuizToán - Lớp 9
Bộ 10 đề thi cuối kì 1 Toán 9 Chân trời sáng tạo có đáp án - Đề 02
19 câu hỏi17 lượt thi
QuizToán - Lớp 9
Bộ 10 đề thi cuối kì 1 Toán 9 Chân trời sáng tạo có đáp án - Đề 01
20 câu hỏi22 lượt thi





