Trắc nghiệm tổng hợp Toán 9
Đề thiToán - Lớp 9
Trắc nghiệm Bài tập cơ bản Căn bậc hai có đáp án
20 câu hỏi22 lượt thi
Đề thiToán - Lớp 9
Trắc nghiệm Bài tập lý thuyết Căn thức bậc hai và hằng đẳng thức có đáp án
10 câu hỏi26 lượt thi
Đề thiToán - Lớp 9
Trắc nghiệm Bài tập lí thuyết Căn bậc hai có đáp án
10 câu hỏi25 lượt thi
Đề thiToán - Lớp 9
Trắc nghiệm Toán 9 Bài 9 (có đáp án): Ôn tập chương 4
25 câu hỏi20 lượt thi
Đề thiToán - Lớp 9
Trắc nghiệm Toán 9 Bài 9 (có đáp án): Ôn tập chương 4-Tổng hợp câu hay và khó về hệ thức Vi-ét
14 câu hỏi20 lượt thi
Đề thiToán - Lớp 9
Trắc nghiệm Toán 9 Bài 9 (có đáp án): Ôn tập chương 4-Tổng hợp câu hay và khó về giải toán bằng cách lập phương trình, hệ phương trình
16 câu hỏi27 lượt thi
Đề thiToán - Lớp 9
Trắc nghiệm Toán 9 Bài 9 (có đáp án): Ôn tập chương 4-Sự tương giao của đường thẳng và parabol
10 câu hỏi34 lượt thi
Đề thiToán - Lớp 9
Trắc nghiệm Toán 9 Bài Ôn tập chương (có đáp án): Hệ thức lượng trong tam giác vuông (phần 2)
34 câu hỏi19 lượt thi
Đề thiToán - Lớp 9
Trắc nghiệm Toán 9 Bài 2 (có đáp án): Ứng dụng thức tế tỉ số lượng giác của góc nhọn (phần 2)
26 câu hỏi22 lượt thi
Đề thiToán - Lớp 9
Trắc nghiệm Toán 9 Bài 9 (có đáp án): Ôn tập chương 4-Hệ phương trình đối xứng
21 câu hỏi20 lượt thi
Đề thiToán - Lớp 9
Trắc nghiệm Toán 9 Bài 9 (có đáp án): Ôn tập chương 4-Sự tương giao giữa đường thẳng và parabol
29 câu hỏi18 lượt thi
Đề thiToán - Lớp 9
Trắc nghiệm Toán 9 Bài 3 (có đáp án): Phương trình,công thức nghiệm của phương trình bậc hai(phần 2)
33 câu hỏi21 lượt thi
Đề thiToán - Lớp 9
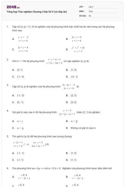
Tổng hợp Trắc nghiệm Chương 3 Đại Số 9 (có đáp án)
38 câu hỏi25 lượt thi
Đề thiToán - Lớp 9
Tổng hợp Trắc nghiệm Toán 9 Chương 1 Đại Số 9 (có đáp án)
35 câu hỏi22 lượt thi
Đề thiToán - Lớp 9
Trắc nghiệm Toán 9 Bài 2 (có đáp án): Ứng dụng thực tế các tỉ số lượng giác của góc nhọn
5 câu hỏi26 lượt thi
Đề thiToán - Lớp 9
Trắc nghiệm Toán 9 (Có đáp án) : Bài tập ôn tập chương 1
22 câu hỏi33 lượt thi
Đề thiToán - Lớp 9
Trắc nghiệm Toán 9 (Có đáp án) : Tổng hợp câu hay và khó chương 1
21 câu hỏi31 lượt thi
Đề thiToán - Lớp 9
Trắc nghiệm Toán 9 Bài 2 (có đáp án): Hệ phương trình bậc nhất hai ẩn chứa tham số
27 câu hỏi30 lượt thi
Đề thiToán - Lớp 9
Trắc nghiệm Toán 9(có đáp án) Bài tập ôn tập chương 2
31 câu hỏi15 lượt thi
Đề thiToán - Lớp 9
Trắc nghiệm Toán 9 (Có đáp án) : Liên hệ phép nhân, phép chia với phép khai phương
24 câu hỏi21 lượt thi
Đề thiToán - Lớp 9
Giải bài tập SGK Toán 9 tập 2 hay nhất Bài tập ôn cuối năm (Phần Đại Số - Phần Hình Học)
35 câu hỏi15 lượt thi
Đề thiToán - Lớp 9
Giải bài tập SGK Toán 9 tập 2 hay nhất Bài tập ôn cuối năm
36 câu hỏi19 lượt thi
Đề thiToán - Lớp 9
Bài tập ôn cuối năm (Phần Đại Số - Phần Hình Học)
59 câu hỏi26 lượt thi
Đề thiToán - Lớp 9
Ôn tập chương 4
24 câu hỏi29 lượt thi























