Trắc Nghiệm Tổng Hợp Toán 12 (Có Đáp Án)
QuizToán - Lớp 12
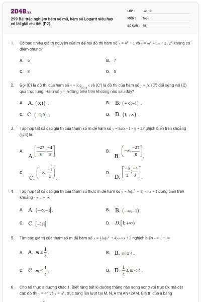
299 Bài trắc nghiệm hàm số mũ, hàm số Logarit siêu hay có lời giải chi tiết (P6)
40 câu hỏi2 lượt thi
QuizToán - Lớp 12
191 câu Bài tập số phức mức độ cơ bản, nâng cao cực hay có lời giải chi tiết(P3)
30 câu hỏi3 lượt thi
QuizToán - Lớp 12
256 Bài tập Hàm số mũ và Logarit cực hay có lời giải chi tiết (P1)
50 câu hỏi3 lượt thi
QuizToán - Lớp 12
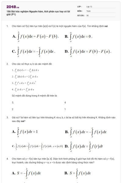
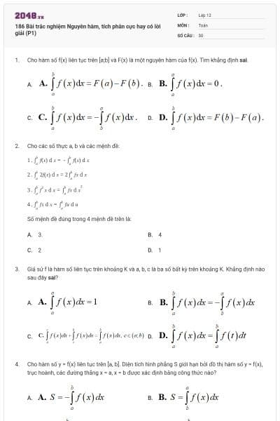
186 Bài trắc nghiệm Nguyên hàm, tích phân cực hay có lời giải (P1)
30 câu hỏi3 lượt thi
QuizToán - Lớp 12
253 Bài tập Số phức từ đề thi Đại học cực hay có lời giải(p1)
25 câu hỏi2 lượt thi
QuizToán - Lớp 12
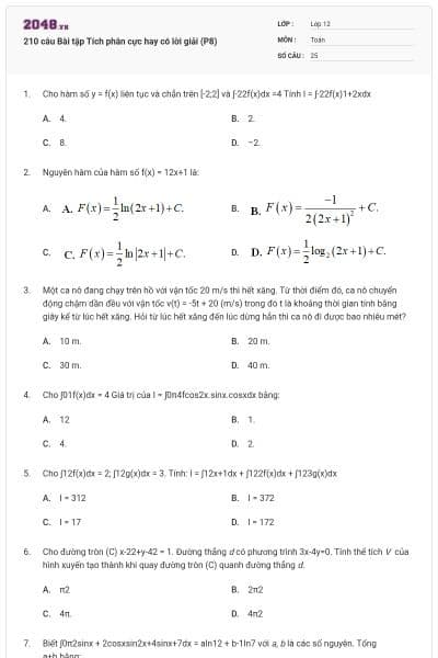
210 câu Bài tập Tích phân cực hay có lời giải (P7)
25 câu hỏi3 lượt thi
QuizToán - Lớp 12
299 Bài trắc nghiệm hàm số mũ, hàm số Logarit siêu hay có lời giải chi tiết (P5)
40 câu hỏi3 lượt thi
QuizToán - Lớp 12
191 câu Bài tập số phức mức độ cơ bản, nâng cao cực hay có lời giải chi tiết(P2)
30 câu hỏi3 lượt thi
QuizToán - Lớp 12
191 câu Bài tập số phức mức độ cơ bản, nâng cao cực hay có lời giải chi tiết(P1)
30 câu hỏi3 lượt thi
QuizToán - Lớp 12
210 câu Bài tập Tích phân cực hay có lời giải (P6)
25 câu hỏi5 lượt thi
QuizToán - Lớp 12
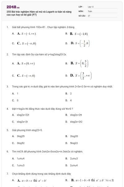
255 Bài trắc nghiệm Hàm số mũ và Logarit cơ bản nâng cao cực hay có lời giải (P4)
40 câu hỏi3 lượt thi
QuizToán - Lớp 12
299 Bài trắc nghiệm hàm số mũ, hàm số Logarit siêu hay có lời giải chi tiết (P4)
40 câu hỏi3 lượt thi
QuizToán - Lớp 12
174 Bài tập Hàm số mũ Logarit cực hay từ đề thi đại học có đáp án(P3)
35 câu hỏi3 lượt thi
QuizToán - Lớp 12
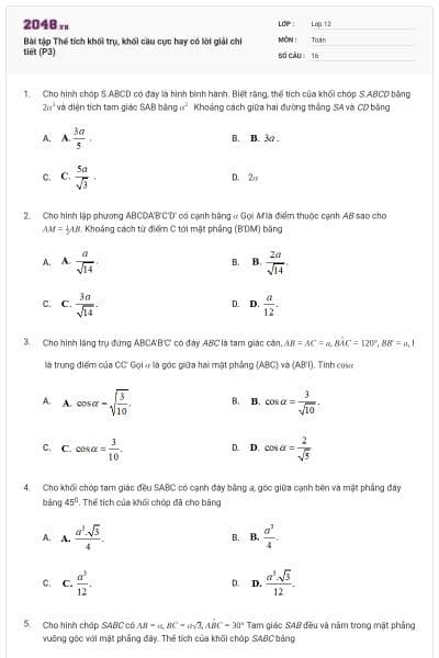
Bài tập Thể tích khối trụ, khối cầu cực hay có lời giải chi tiết (P3)
16 câu hỏi5 lượt thi
QuizToán - Lớp 12
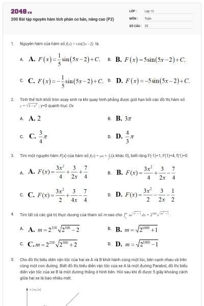
200 Bài tập nguyên hàm tích phân cơ bản, nâng cao (P2)
25 câu hỏi2 lượt thi
QuizToán - Lớp 12
Bài tập Thể tích khối trụ, khối cầu cực hay có lời giải chi tiết (P2)
25 câu hỏi3 lượt thi
QuizToán - Lớp 12
174 Bài tập Hàm số mũ Logarit cực hay từ đề thi đại học có đáp án(P2)
35 câu hỏi3 lượt thi
QuizToán - Lớp 12
299 Bài trắc nghiệm hàm số mũ, hàm số Logarit siêu hay có lời giải chi tiết (P3)
40 câu hỏi3 lượt thi
QuizToán - Lớp 12
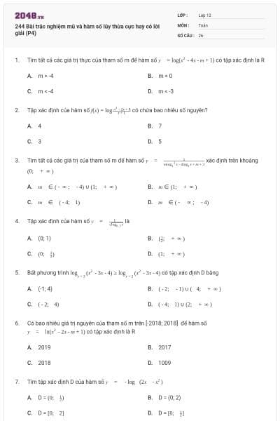
244 Bài trắc nghiệm mũ và hàm số lũy thừa cực hay có lời giải (P4)
26 câu hỏi3 lượt thi
QuizToán - Lớp 12
190 Bài trắc nghiệm Số phức từ đề thi đại học cực hay có lời giải (P2)
40 câu hỏi3 lượt thi
QuizToán - Lớp 12
299 Bài trắc nghiệm hàm số mũ, hàm số Logarit siêu hay có lời giải chi tiết (P2)
40 câu hỏi3 lượt thi
QuizToán - Lớp 12
174 Bài tập Hàm số mũ Logarit cực hay từ đề thi đại học có đáp án(P1)
34 câu hỏi3 lượt thi
QuizToán - Lớp 12
244 Bài trắc nghiệm mũ và hàm số lũy thừa cực hay có lời giải (P3)
27 câu hỏi3 lượt thi
QuizToán - Lớp 12
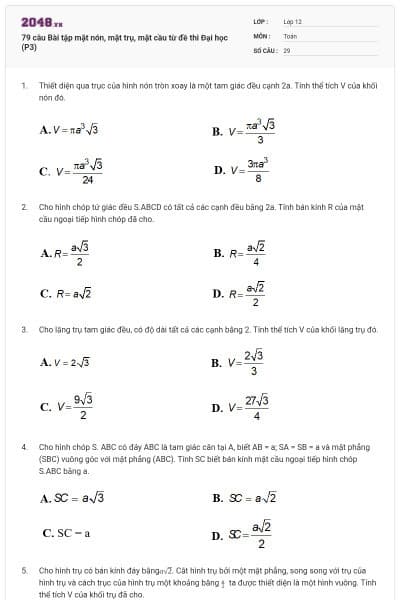
79 câu Bài tập mặt nón, mặt trụ, mặt cầu từ đề thi Đại học (P3)
29 câu hỏi2 lượt thi























