Trắc Nghiệm Tổng Hợp Toán 12 (Có Đáp Án)
Đề thiToán - Lớp 12
206 câu Bài tập Nguyên hàm, tích phân cơ bản, nâng cao cực hay có lời giải chi tiết (P6)
30 câu hỏi1 lượt thi
Đề thiToán - Lớp 12
140 câu Bài tập Hàm số mũ và Logarit cơ bản, nâng cao cực hay có lời giải chi tiết (P2)
35 câu hỏi1 lượt thi
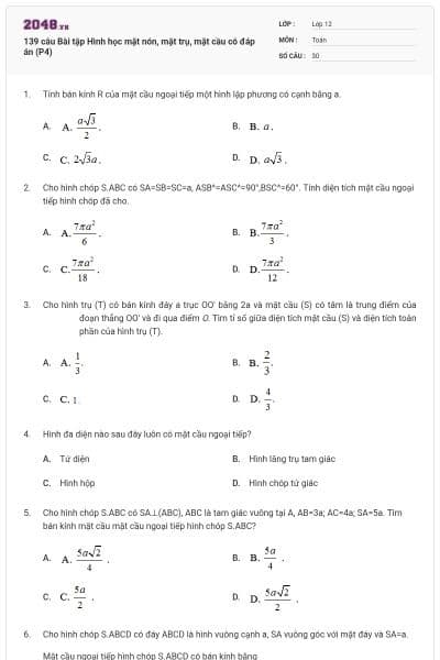
Đề thiToán - Lớp 12
139 câu Bài tập Hình học mặt nón, mặt trụ, mặt cầu có đáp án (P4)
30 câu hỏi1 lượt thi
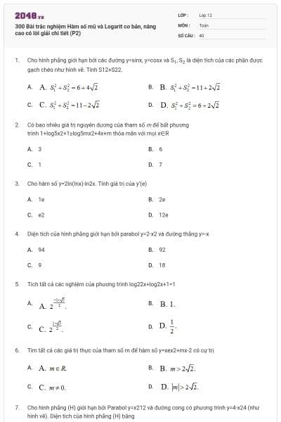
Đề thiToán - Lớp 12
300 Bài trắc nghiệm Hàm số mũ và Logarit cơ bản, nâng cao có lời giải chi tiết (P5)
40 câu hỏi1 lượt thi
Đề thiToán - Lớp 12
200 Bài tập nguyên hàm tích phân cơ bản, nâng cao (P9)
24 câu hỏi3 lượt thi
Đề thiToán - Lớp 12
175 câu Bài tập Số phức từ đề thi Đại học cực hay có lời giải chi tiết (P6)
25 câu hỏi1 lượt thi
Đề thiToán - Lớp 12
140 câu Bài tập Hàm số mũ và Logarit cơ bản, nâng cao cực hay có lời giải chi tiết (P1)
35 câu hỏi1 lượt thi
Đề thiToán - Lớp 12
256 Bài tập Hàm số mũ và Logarit cực hay có lời giải chi tiết (P5)
53 câu hỏi1 lượt thi
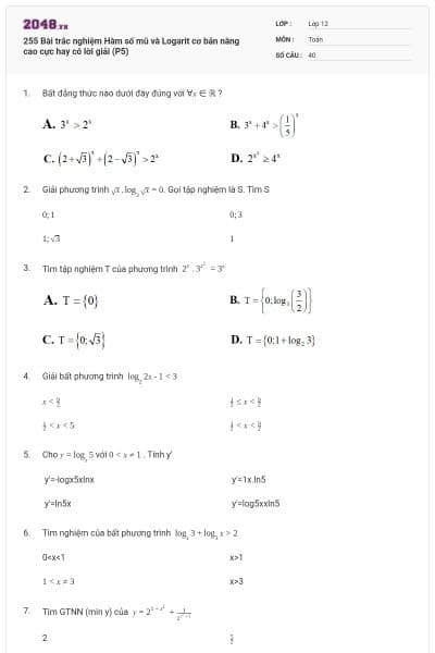
Đề thiToán - Lớp 12
300 Bài trắc nghiệm Hàm số mũ và Logarit cơ bản, nâng cao có lời giải chi tiết (P4)
40 câu hỏi1 lượt thi
Đề thiToán - Lớp 12
120 câu Bài tập Hình học tọa độ trong không gian Oxyz cực hay có lời giải (P2)
40 câu hỏi1 lượt thi
Đề thiToán - Lớp 12
175 câu Bài tập Số phức từ đề thi Đại học cực hay có lời giải chi tiết (P5)
25 câu hỏi1 lượt thi
Đề thiToán - Lớp 12
206 câu Bài tập Nguyên hàm, tích phân cơ bản, nâng cao cực hay có lời giải chi tiết (P5)
30 câu hỏi1 lượt thi
Đề thiToán - Lớp 12
200 Bài tập nguyên hàm tích phân cơ bản, nâng cao (P8)
25 câu hỏi1 lượt thi
Đề thiToán - Lớp 12
200 Bài tập nguyên hàm tích phân cơ bản, nâng cao (P7)
25 câu hỏi1 lượt thi
Đề thiToán - Lớp 12
300 Bài trắc nghiệm Hàm số mũ và Logarit cơ bản, nâng cao có lời giải chi tiết (P3)
40 câu hỏi1 lượt thi
Đề thiToán - Lớp 12
169 Bài tập Hàm số từ đề thi Đại học có lời giải chi tiết (P6)
30 câu hỏi1 lượt thi
Đề thiToán - Lớp 12
169 Bài tập Hàm số từ đề thi Đại học có lời giải chi tiết (P5)
29 câu hỏi1 lượt thi
Đề thiToán - Lớp 12
169 Bài tập Hàm số từ đề thi Đại học có lời giải chi tiết (P4)
25 câu hỏi1 lượt thi
Đề thiToán - Lớp 12
169 Bài tập Hàm số từ đề thi Đại học có lời giải chi tiết (P3)
25 câu hỏi1 lượt thi
Đề thiToán - Lớp 12
169 Bài tập Hàm số từ đề thi Đại học có lời giải chi tiết (P2)
30 câu hỏi1 lượt thi
Đề thiToán - Lớp 12
256 Bài tập Hàm số mũ và Logarit cực hay có lời giải chi tiết (P4)
50 câu hỏi1 lượt thi
Đề thiToán - Lớp 12
300 Bài trắc nghiệm Hàm số mũ và Logarit cơ bản, nâng cao có lời giải chi tiết (P2)
40 câu hỏi1 lượt thi
Đề thiToán - Lớp 12
175 câu Bài tập Số phức từ đề thi Đại học cực hay có lời giải chi tiết (P4)
25 câu hỏi1 lượt thi
Đề thiToán - Lớp 12
200 Bài tập nguyên hàm tích phân cơ bản, nâng cao (P6)
25 câu hỏi1 lượt thi























