Trắc Nghiệm Tổng Hợp Toán 12 (Có Đáp Án)
QuizToán - Lớp 12
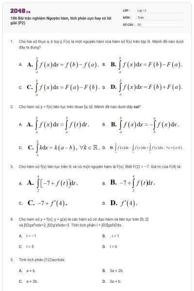
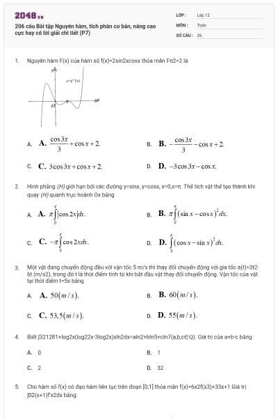
206 câu Bài tập Nguyên hàm, tích phân cơ bản, nâng cao cực hay có lời giải chi tiết (P5)
30 câu hỏi2 lượt thi
QuizToán - Lớp 12
200 Bài tập nguyên hàm tích phân cơ bản, nâng cao (P8)
25 câu hỏi2 lượt thi
QuizToán - Lớp 12
200 Bài tập nguyên hàm tích phân cơ bản, nâng cao (P7)
25 câu hỏi2 lượt thi
QuizToán - Lớp 12
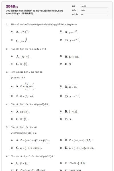
300 Bài trắc nghiệm Hàm số mũ và Logarit cơ bản, nâng cao có lời giải chi tiết (P3)
40 câu hỏi2 lượt thi
QuizToán - Lớp 12
169 Bài tập Hàm số từ đề thi Đại học có lời giải chi tiết (P6)
30 câu hỏi2 lượt thi
QuizToán - Lớp 12
169 Bài tập Hàm số từ đề thi Đại học có lời giải chi tiết (P5)
29 câu hỏi2 lượt thi
QuizToán - Lớp 12
169 Bài tập Hàm số từ đề thi Đại học có lời giải chi tiết (P4)
25 câu hỏi2 lượt thi
QuizToán - Lớp 12
169 Bài tập Hàm số từ đề thi Đại học có lời giải chi tiết (P3)
25 câu hỏi2 lượt thi
QuizToán - Lớp 12
169 Bài tập Hàm số từ đề thi Đại học có lời giải chi tiết (P2)
30 câu hỏi2 lượt thi
QuizToán - Lớp 12
256 Bài tập Hàm số mũ và Logarit cực hay có lời giải chi tiết (P4)
50 câu hỏi2 lượt thi
QuizToán - Lớp 12
300 Bài trắc nghiệm Hàm số mũ và Logarit cơ bản, nâng cao có lời giải chi tiết (P2)
40 câu hỏi2 lượt thi
QuizToán - Lớp 12
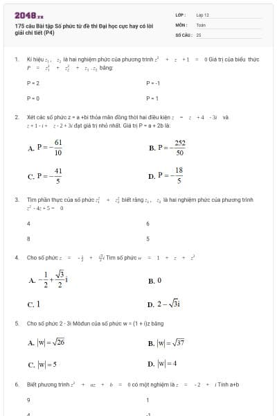
175 câu Bài tập Số phức từ đề thi Đại học cực hay có lời giải chi tiết (P4)
25 câu hỏi2 lượt thi
QuizToán - Lớp 12
200 Bài tập nguyên hàm tích phân cơ bản, nâng cao (P6)
25 câu hỏi2 lượt thi
QuizToán - Lớp 12
120 câu Bài tập Hình học tọa độ trong không gian Oxyz cực hay có lời giải (P1)
40 câu hỏi2 lượt thi
QuizToán - Lớp 12
300 Bài trắc nghiệm Hàm số mũ và Logarit cơ bản, nâng cao có lời giải chi tiết (P1)
40 câu hỏi2 lượt thi
QuizToán - Lớp 12
240 câu Bài tập Hàm số mũ, logarit ôn thi THPT Quốc gia có lời giải (P4)
30 câu hỏi2 lượt thi
QuizToán - Lớp 12
175 câu Bài tập Số phức từ đề thi Đại học cực hay có lời giải chi tiết (P3)
25 câu hỏi2 lượt thi
QuizToán - Lớp 12
234 bài trắc nghiệm Hàm số và mũ Logarit từ đề thi Đại học cực hay có lời giải (P1)
30 câu hỏi2 lượt thi
QuizToán - Lớp 12
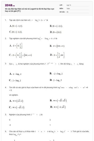
66 câu Bài tâp Hàm số mũ và Logarit từ đề thi Đại Học cực hay có lời giải (P1)
33 câu hỏi2 lượt thi
QuizToán - Lớp 12
175 câu Bài tập Số phức từ đề thi Đại học cực hay có lời giải chi tiết (P2)
25 câu hỏi2 lượt thi
QuizToán - Lớp 12
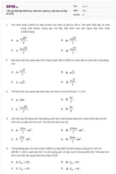
118 câu Bài tập Hình học Khối đa diện cơ bản, nâng cao có lời giải chi tiết (P3)
30 câu hỏi2 lượt thi
QuizToán - Lớp 12
238 câu Bài tâp Nguyên Hàm, Tích phân cơ bản, nâng cao cực hay có lời giải (P1)
25 câu hỏi2 lượt thi
QuizToán - Lớp 12
169 Bài tập Hàm số từ đề thi Đại học có lời giải chi tiết (P1)
25 câu hỏi2 lượt thi
QuizToán - Lớp 12
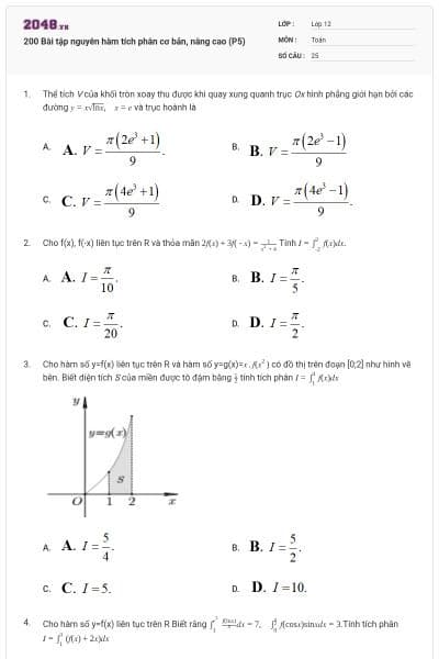
200 Bài tập nguyên hàm tích phân cơ bản, nâng cao (P5)
25 câu hỏi2 lượt thi























