Toán Lớp 12
Đề thiToán - Lớp 12
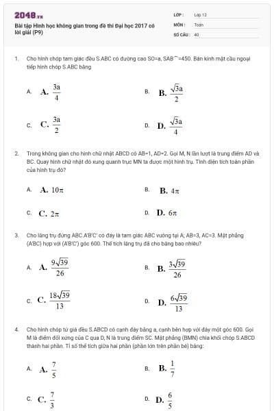
Bài tập Hình học không gian trong đề thi Đại học 2017 có lời giải (P18)
40 câu hỏi2 lượt thi
Đề thiToán - Lớp 12
210 câu trắc nghiêm Hình học không gian cực hay có lời giải (P5)
30 câu hỏi1 lượt thi
Đề thiToán - Lớp 12
Bài tập Hình học không gian trong đề thi Đại học 2017 có lời giải (P17)
40 câu hỏi1 lượt thi
Đề thiToán - Lớp 12
Bài tập Hình không gian cơ bản, nâng cao ôn thi đại học có lời giải (P2)
28 câu hỏi1 lượt thi
Đề thiToán - Lớp 12
210 câu trắc nghiệm Hình học không gian cực hay có lời giải (P4)
30 câu hỏi1 lượt thi
Đề thiToán - Lớp 12
Bài tập Hình học không gian trong đề thi Đại học 2017 có lời giải (P16)
40 câu hỏi1 lượt thi
Đề thiToán - Lớp 12
Bài tập Hình học không gian trong đề thi Đại học 2017 có lời giải (P15)
40 câu hỏi1 lượt thi
Đề thiToán - Lớp 12
210 câu trắc nghiệm Hình học không gian cực hay có lời giải (P3)
30 câu hỏi1 lượt thi
Đề thiToán - Lớp 12
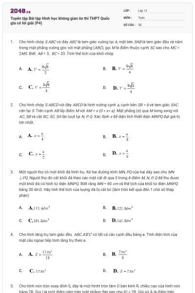
Tuyển tập Bài tập Hình học không gian ôn thi THPT Quốc gia có lời giải (P4)
30 câu hỏi1 lượt thi
Đề thiToán - Lớp 12
Bài tập Hình học không gian trong đề thi Đại học 2017 có lời giải (P14)
40 câu hỏi1 lượt thi
Đề thiToán - Lớp 12
Tuyển tập Bài tập Hình học không gian ôn thi THPT Quốc gia có lời giải (P3)
30 câu hỏi1 lượt thi
Đề thiToán - Lớp 12
Bài tập Hình học không gian trong đề thi Đại học 2017 có lời giải (P13)
40 câu hỏi2 lượt thi
Đề thiToán - Lớp 12
Bài tập Hình học không gian trong đề thi Đại học 2017 có lời giải (P12)
40 câu hỏi1 lượt thi
Đề thiToán - Lớp 12
210 câu trắc nghiệm Hình học không gian cực hay có lời giải (P2)
30 câu hỏi1 lượt thi
Đề thiToán - Lớp 12
Bài tập Hình học không gian trong đề thi Đại học 2017 có lời giải (P11)
40 câu hỏi1 lượt thi
Đề thiToán - Lớp 12
Bài tập Hình học không gian trong đề thi Đại học 2017 có lời giải (P10)
40 câu hỏi1 lượt thi
Đề thiToán - Lớp 12
Tuyển tập Bài tập Hình học không gian ôn thi THPT Quốc gia có lời giải (P2)
30 câu hỏi1 lượt thi
Đề thiToán - Lớp 12
Bài tập Hình học không gian trong đề thi Đại học 2017 có lời giải (P9)
40 câu hỏi1 lượt thi
Đề thiToán - Lớp 12
210 câu trắc nghiệm Hình học không gian cực hay có lời giải (P1)
30 câu hỏi1 lượt thi
Đề thiToán - Lớp 12
Bài tập Hình học không gian trong đề thi Đại học 2017 có lời giải (P8)
40 câu hỏi1 lượt thi
Đề thiToán - Lớp 12
Tuyển tập Bài tập Hình học không gian ôn thi THPT Quốc gia có lời giải (P1)
30 câu hỏi1 lượt thi
Đề thiToán - Lớp 12
Bài tập Hình không gian cơ bản, nâng cao ôn thi Đại học có lời giải (P1)
25 câu hỏi1 lượt thi























