Toán Lớp 12
QuizToán - Lớp 12
201 Bài trắc nghiệm Oxyz cực hay có lời giải chi tiết (P5)
30 câu hỏi3 lượt thi
QuizToán - Lớp 12
256 Bài trắc nghiệm Oxyz cực hay có lời giải (P3)
25 câu hỏi3 lượt thi
QuizToán - Lớp 12
230 Bài tập trắc nghiệm Oxyz cực hay có lời giải chi tiết (P7)
25 câu hỏi3 lượt thi
QuizToán - Lớp 12
190 Bài trắc nghiệm Mặt nón, mặt trụ, mặt cầu cực hay có lời giải chi tiết (P4)
35 câu hỏi4 lượt thi
QuizToán - Lớp 12
256 Bài trắc nghiệm Oxyz cực hay có lời giải (P2)
25 câu hỏi3 lượt thi
QuizToán - Lớp 12
201 Bài trắc nghiệm Oxyz trong đề thi thử THPTQG 2019 cực hay có lời giải chi tiết (P2)
40 câu hỏi6 lượt thi
QuizToán - Lớp 12
230 Bài tập trắc nghiệm Oxyz cực hay có lời giải chi tiết (P6)
25 câu hỏi3 lượt thi
QuizToán - Lớp 12
256 Bài trắc nghiệm Oxyz cực hay có lời giải (P1)
25 câu hỏi3 lượt thi
QuizToán - Lớp 12
201 Bài trắc nghiệm Oxyz cực hay có lời giải chi tiết (P4)
30 câu hỏi3 lượt thi
QuizToán - Lớp 12
190 Bài trắc nghiệm Mặt nón, mặt trụ, mặt cầu cực hay có lời giải chi tiết (P3)
20 câu hỏi4 lượt thi
QuizToán - Lớp 12
199 Bài trắc nghiệm Hàm số từ đề thi thử cực hay có lời giải (P2)
25 câu hỏi3 lượt thi
QuizToán - Lớp 12
195 Bài trắc nghiệm Hàm số từ đề thi thử THPTQG cực hay có lời giải (P5)
32 câu hỏi3 lượt thi
QuizToán - Lớp 12
208 Bài trắc nghiệm Hàm số cơ bản, nâng cao cực hay có lời giải (P2)
30 câu hỏi3 lượt thi
QuizToán - Lớp 12
201 Bài trắc nghiệm Oxyz cực hay có lời giải chi tiết (P3)
25 câu hỏi3 lượt thi
QuizToán - Lớp 12
230 Bài tập trắc nghiệm Oxyz cực hay có lời giải chi tiết (P5)
25 câu hỏi3 lượt thi
QuizToán - Lớp 12
190 Bài trắc nghiệm Mặt nón, mặt trụ, mặt cầu cực hay có lời giải chi tiết (P2)
30 câu hỏi5 lượt thi
QuizToán - Lớp 12
80 câu Bài tập Hình học Khối đa diện có lời giải chi tiết (P4)
19 câu hỏi5 lượt thi
QuizToán - Lớp 12
Bài tập tọa độ không gian Oxyz cực hay có lời giải chi tiết (P1)
13 câu hỏi3 lượt thi
QuizToán - Lớp 12
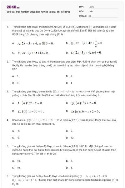
201 Bài trắc nghiệm Oxyz cực hay có lời giải chi tiết (P2)
30 câu hỏi3 lượt thi
QuizToán - Lớp 12
201 Bài trắc nghiệm Oxyz trong đề thi thử THPTQG 2019 cực hay có lời giải chi tiết (P1)
40 câu hỏi3 lượt thi
QuizToán - Lớp 12
233 Bài trắc nghiệm số phức cơ bản, nâng cao cực hay có lời giải (P9)
25 câu hỏi5 lượt thi
QuizToán - Lớp 12
230 Bài tập trắc nghiệm Oxyz cực hay có lời giải chi tiết (P4)
25 câu hỏi3 lượt thi























