Hóa học Lớp 12
- Chủ đề:
- Este - Lipit
- Cacbohiđrat
- Amin, amino axit và protein
- Polime và vật liệu polime
- Đại cương về kim loại
- Kim loại kiềm, kim loại kiềm thổ, nhôm
- Đề thi Hóa học 12
- Sắt và một số kim loại quan trọng
- Phân biệt một số chất vô cơ
- Hóa học và vấn đề phát triển kinh tế, xã hội, môi trường
- Trắc Nghiệm Tổng Hợp Hóa Học Lớp 12 (Có Đáp Án)
- Chuyên đề Hóa 12
Đề thiHóa học - Lớp 12
8 câu Trắc nghiệm chuyên đề Hoá 12 Chủ đề 7. Bài toán về chât béo có đáp án
8 câu hỏi6 lượt thi
Đề thiHóa học - Lớp 12
9 câu Trắc nghiệm chuyên đề Hoá 12 Chủ đề 6. Xác định chỉ số xà phòng hoá, chỉ số axit, chỉ số iot của chất béo có đáp án
9 câu hỏi6 lượt thi
Đề thiHóa học - Lớp 12
30 câu Trắc nghiệm chuyên đề Hóa 12 Chủ đề 8: Kiểm tra một tiết chuyên đề V có đáp án
30 câu hỏi12 lượt thi
Đề thiHóa học - Lớp 12
40 câu Trắc nghiệm chuyên đề Hóa 12 Chủ đề 7: Ôn tập và kiếm tra chuyên đề đại cương về kim loại có đáp án
40 câu hỏi7 lượt thi
Đề thiHóa học - Lớp 12
12 câu Trắc nghiệm chuyên đề Hóa 12 Chủ đề 6: Kim loại tác dụng với dung dịch muối có đáp án
12 câu hỏi12 lượt thi
Đề thiHóa học - Lớp 12
11 câu Trắc nghiệm chuyên đề Hóa 12 Chủ đề 5: Kim loại tác dụng với dung dịch axit có đáp án
11 câu hỏi11 lượt thi
Đề thiHóa học - Lớp 12
11 câu Trắc nghiệm chuyên đề Hóa 12 Chủ đề 4: Phương pháp giải các bài toán về kim loại có đáp án
11 câu hỏi6 lượt thi
Đề thiHóa học - Lớp 12
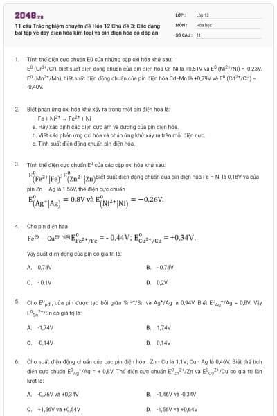
11 câu Trắc nghiệm chuyên đề Hóa 12 Chủ đề 3: Các dạng bài tập về dãy điện hóa kim loại và pin điện hóa có đáp án
11 câu hỏi9 lượt thi
Đề thiHóa học - Lớp 12
10 câu Trắc nghiệm chuyên đề Hóa 12 Chủ đề 2: Chuỗi phản ứng hóa học của kim loại có đáp án
10 câu hỏi12 lượt thi
Đề thiHóa học - Lớp 12
27 câu Trắc nghiệm chuyên đề Hóa 12 Chủ đề 1:Tính chất chung của kim loại có đáp án
27 câu hỏi7 lượt thi
Đề thiHóa học - Lớp 12
40 câu Trắc nghiệm chuyên đề Hóa 12 Chủ đề 6: Kiểm tra một tiết có đáp án
40 câu hỏi8 lượt thi
Đề thiHóa học - Lớp 12
25 câu Trắc nghiệm chuyên đề Hóa 12 Chủ đề 5: Ôn tập và kiểm tra chuyên đề Polime và vật liệu Polime có đáp án
25 câu hỏi13 lượt thi
Đề thiHóa học - Lớp 12
10 câu Trắc nghiệm chuyên đề Hóa 12 Chủ đề 4: Hiệu suất phản ứng trùng hợp Polime có đáp án
10 câu hỏi9 lượt thi
Đề thiHóa học - Lớp 12
14 Bài tập rèn luyện
14 câu hỏi8 lượt thi
Đề thiHóa học - Lớp 12
12 Bài tập rèn luyện
12 câu hỏi12 lượt thi
Đề thiHóa học - Lớp 12
14 Bài tập rèn luyện
14 câu hỏi6 lượt thi
Đề thiHóa học - Lớp 12
13 câu Trắc nghiệm chuyên đề Hóa 12 Chủ đề 2: Chuỗi phản ứng hóa học của Polime có đáp án
13 câu hỏi12 lượt thi
Đề thiHóa học - Lớp 12
15 câu Trắc nghiệm chuyên đề Hóa 12 Chủ đề 1: Câu hỏi lý thuyết về Polime có đáp án
15 câu hỏi11 lượt thi
Đề thiHóa học - Lớp 12
30 câu Trắc nghiệm chuyên đề Hóa 12 Chủ đề 9: Kiểm tra một tiết chuyên đề III có đáp án
30 câu hỏi6 lượt thi
Đề thiHóa học - Lớp 12
40 câu Trắc nghiệm chuyên đề Hóa 12 Chủ đề 8: Ôn tập và kiểm tra chuyên đề Amin- Amino Axit- Protein có đáp án
40 câu hỏi7 lượt thi
Đề thiHóa học - Lớp 12
13 câu Trắc nghiệm chuyên đề Hoá 12 Chủ đề 5: Bài toán về phản ứng thuỷ phân
13 câu hỏi10 lượt thi
Đề thiHóa học - Lớp 12
13 câu Trắc nghiệm chuyên đề Hóa 12 Chủ đề 7: Các dạng bài tập về protein, peptit có đáp án
13 câu hỏi7 lượt thi
Ngân hàng đề thi























