Trắc Nghiệm Tổng Hợp Toán 12 (Có Đáp Án)
QuizToán - Lớp 12
215 câu Bài tập Hàm số mũ, logarit cơ bản, nâng cao có lời giải (P5)
30 câu hỏi2 lượt thi
QuizToán - Lớp 12
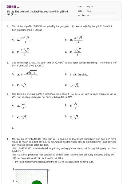
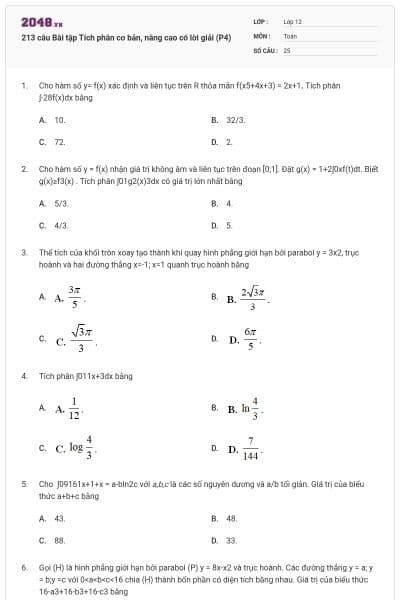
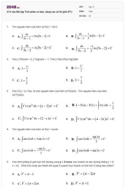
250 câu Bài tập Tích phân ôn thi Đại học có lời giải (P1)
25 câu hỏi2 lượt thi
QuizToán - Lớp 12
225 Bài tập Số phức ôn thi Đại học có lời giải (P2)
25 câu hỏi2 lượt thi
QuizToán - Lớp 12
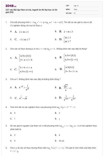
237 câu Bài tập Hàm số mũ, logarit ôn thi Đại học có lời giải (P8)
27 câu hỏi2 lượt thi
QuizToán - Lớp 12
225 Bài tập Số phức ôn thi Đại học có lời giải (P1)
21 câu hỏi2 lượt thi
QuizToán - Lớp 12
237 câu Bài tập Hàm số mũ, logarit ôn thi Đại học có lời giải (P7)
30 câu hỏi2 lượt thi
QuizToán - Lớp 12
215 câu Bài tập Hàm số mũ, logarit cơ bản, nâng cao có lời giải (P4)
25 câu hỏi2 lượt thi
QuizToán - Lớp 12
237 câu Bài tập Hàm số mũ, logarit ôn thi Đại học có lời giải (P6)
30 câu hỏi2 lượt thi
QuizToán - Lớp 12
175 câu Bài tập Số phức cơ bản, nâng cao có lời giải (P1)
25 câu hỏi2 lượt thi
QuizToán - Lớp 12
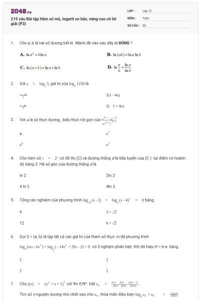
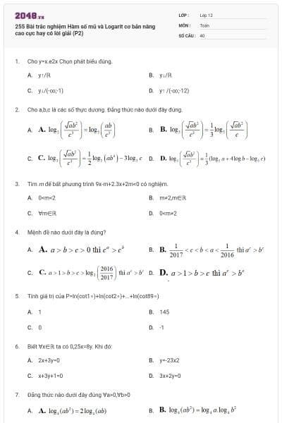
215 câu Bài tập Hàm số mũ, logarit cơ bản, nâng cao có lời giải (P3)
30 câu hỏi2 lượt thi
QuizToán - Lớp 12
237 câu Bài tập Hàm số mũ, logarit ôn thi Đại học có lời giải (P5)
30 câu hỏi2 lượt thi
QuizToán - Lớp 12
237 câu Bài tập Hàm số mũ, logarit ôn thi Đại học có lời giải (P4)
30 câu hỏi2 lượt thi
QuizToán - Lớp 12
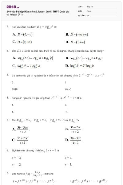
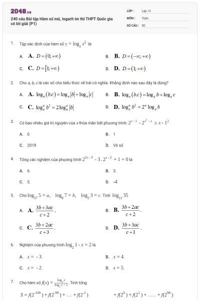
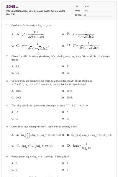
237 câu Bài tập Hàm số mũ, logarit ôn thi Đại học có lời giải (P3)
30 câu hỏi2 lượt thi
QuizToán - Lớp 12
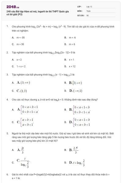
215 câu Bài tập Hàm số mũ, logarit cơ bản, nâng cao có lời giải (P2)
30 câu hỏi2 lượt thi
QuizToán - Lớp 12
237 câu Bài tập Hàm số mũ, logarit ôn thi Đại học có lời giải (P2)
30 câu hỏi2 lượt thi
QuizToán - Lớp 12
215 câu Bài tập Hàm số mũ, logarit cơ bản, nâng cao có lời giải (P1)
30 câu hỏi2 lượt thi

















