Trắc Nghiệm Tổng Hợp Toán 12 (Có Đáp Án)
QuizToán - Lớp 12
213 câu Bài tập Tích phân cơ bản, nâng cao có lời giải (P6)
25 câu hỏi2 lượt thi
QuizToán - Lớp 12
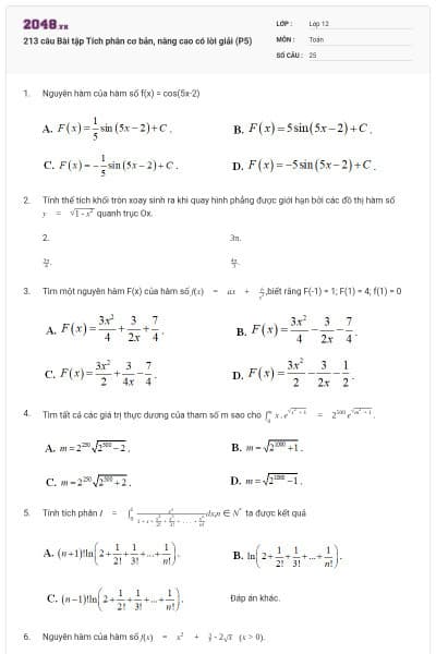
213 câu Bài tập Tích phân cơ bản, nâng cao có lời giải (P5)
25 câu hỏi3 lượt thi
QuizToán - Lớp 12
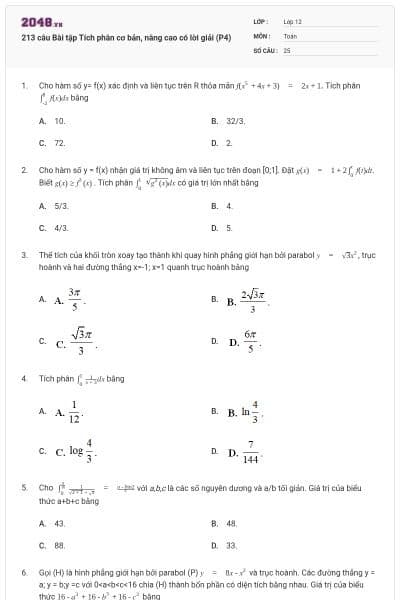
213 câu Bài tập Tích phân cơ bản, nâng cao có lời giải (P4)
25 câu hỏi2 lượt thi
QuizToán - Lớp 12
213 câu Bài tập Tích phân cơ bản, nâng cao có lời giải (P3)
25 câu hỏi3 lượt thi
QuizToán - Lớp 12
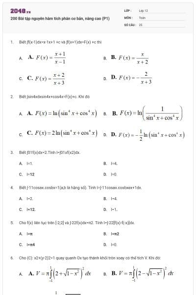
213 câu Bài tập Tích phân cơ bản, nâng cao có lời giải (P2)
25 câu hỏi3 lượt thi
QuizToán - Lớp 12
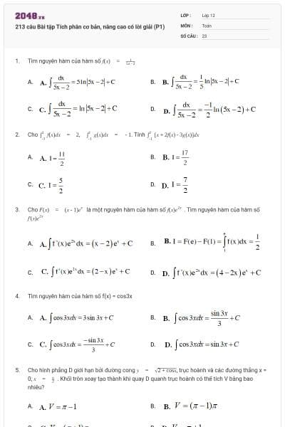
213 câu Bài tập Tích phân cơ bản, nâng cao có lời giải (P1)
23 câu hỏi2 lượt thi
QuizToán - Lớp 12
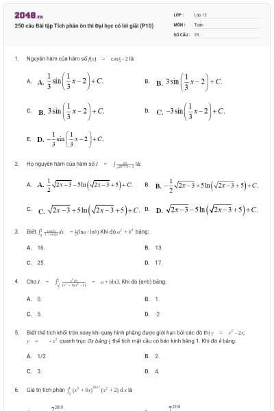
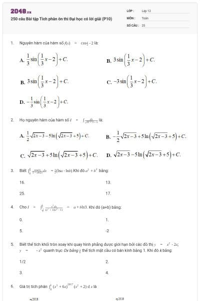
250 câu Bài tập Tích phân ôn thi Đại học có lời giải (P10)
25 câu hỏi2 lượt thi
QuizToán - Lớp 12
250 câu Bài tập Tích phân ôn thi Đại học có lời giải (P9)
25 câu hỏi3 lượt thi
QuizToán - Lớp 12
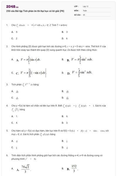
250 câu Bài tập Tích phân ôn thi Đại học có lời giải (P8)
25 câu hỏi3 lượt thi
QuizToán - Lớp 12
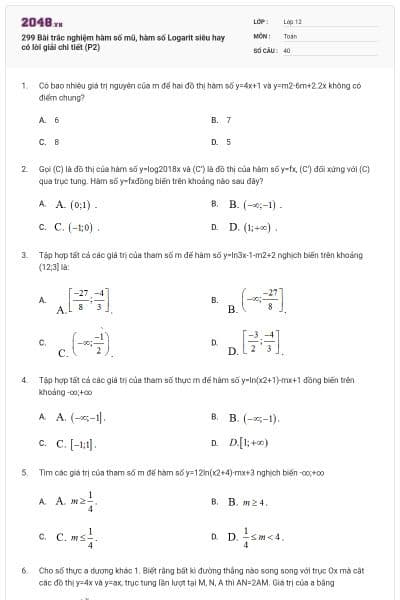
215 câu Bài tập Hàm số mũ, logarit cơ bản, nâng cao có lời giải (P7)
40 câu hỏi3 lượt thi
QuizToán - Lớp 12
250 câu Bài tập Tích phân ôn thi Đại học có lời giải (P7)
25 câu hỏi3 lượt thi
QuizToán - Lớp 12
240 câu Bài tập Hàm số mũ, logarit ôn thi THPT Quốc gia có lời giải (P2)
30 câu hỏi3 lượt thi
QuizToán - Lớp 12
225 Bài tập Số phức ôn thi Đại học có lời giải (P8)
24 câu hỏi2 lượt thi
QuizToán - Lớp 12
250 câu Bài tập Tích phân ôn thi Đại học có lời giải (P6)
25 câu hỏi3 lượt thi
QuizToán - Lớp 12
225 Bài tập Số phức ôn thi Đại học có lời giải (P7)
25 câu hỏi2 lượt thi
QuizToán - Lớp 12
250 câu Bài tập Tích phân ôn thi Đại học có lời giải (P5)
25 câu hỏi2 lượt thi
QuizToán - Lớp 12
225 Bài tập Số phức ôn thi Đại học có lời giải (P6)
25 câu hỏi3 lượt thi
QuizToán - Lớp 12
225 Bài tập Số phức ôn thi Đại học có lời giải (P5)
25 câu hỏi4 lượt thi
QuizToán - Lớp 12
250 câu Bài tập Tích phân ôn thi Đại học có lời giải (P4)
25 câu hỏi3 lượt thi
QuizToán - Lớp 12
225 Bài tập Số phức ôn thi Đại học có lời giải (P4)
25 câu hỏi3 lượt thi
QuizToán - Lớp 12
250 câu Bài tập Tích phân ôn thi Đại học có lời giải (P3)
25 câu hỏi3 lượt thi
QuizToán - Lớp 12
250 câu Bài tập Tích phân ôn thi Đại học có lời giải (P2)
25 câu hỏi2 lượt thi
QuizToán - Lớp 12
215 câu Bài tập Hàm số mũ, logarit cơ bản, nâng cao có lời giải (P6)
30 câu hỏi2 lượt thi
QuizToán - Lớp 12
225 Bài tập Số phức ôn thi Đại học có lời giải (P3)
25 câu hỏi3 lượt thi























