Phương pháp tọa độ trong mặt phẳng
Đề thiToán - Lớp 10
Bài 2: Phương trình đường tròn
8 câu hỏi3 lượt thi
Đề thiToán - Lớp 10
Bài 1: Phương trình đường thẳng
17 câu hỏi4 lượt thi
Đề thiToán - Lớp 10
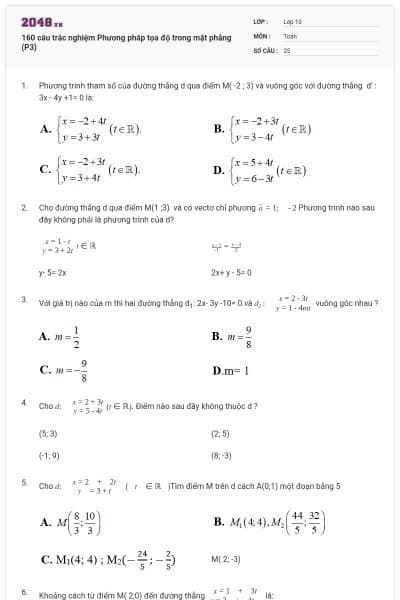
160 câu trắc nghiệm Phương pháp tọa độ trong mặt phẳng (P6)
35 câu hỏi3 lượt thi
Đề thiToán - Lớp 10
160 câu trắc nghiệm Phương pháp tọa độ trong mặt phẳng(P5)
25 câu hỏi3 lượt thi
Đề thiToán - Lớp 10
160 câu trắc nghiệm Phương pháp tọa độ trong mặt phẳng (P4)
25 câu hỏi3 lượt thi
Đề thiToán - Lớp 10
120 câu trắc nghiệm Phương pháp tọa độ trong mặt phẳng nâng cao (P5)
20 câu hỏi2 lượt thi
Đề thiToán - Lớp 10
120 câu trắc nghiệm Phương pháp tọa độ trong mặt phẳng nâng cao (P4)
25 câu hỏi4 lượt thi
Đề thiToán - Lớp 10
120 câu trắc nghiệm Phương pháp tọa độ trong mặt phẳng nâng cao (P3)
25 câu hỏi2 lượt thi
Đề thiToán - Lớp 10
120 câu trắc nghiệm Phương pháp tọa độ trong mặt phẳng nâng cao (P2)
25 câu hỏi2 lượt thi
Đề thiToán - Lớp 10
120 câu trắc nghiệm Phương pháp tọa độ trong mặt phẳng nâng cao (P1)
25 câu hỏi4 lượt thi
Đề thiToán - Lớp 10
160 câu trắc nghiệm Phương pháp tọa độ trong mặt phẳng (P3)
25 câu hỏi2 lượt thi
Đề thiToán - Lớp 10
160 câu trắc nghiệm Phương pháp tọa độ trong mặt phẳng (P2)
25 câu hỏi3 lượt thi
Đề thiToán - Lớp 10
160 câu trắc nghiệm Phương pháp tọa độ trong mặt phẳng (P1)
25 câu hỏi2 lượt thi
Ngân hàng đề thi












