Đề thi vào 10 môn Toán
Đề thiToán - Lớp 9
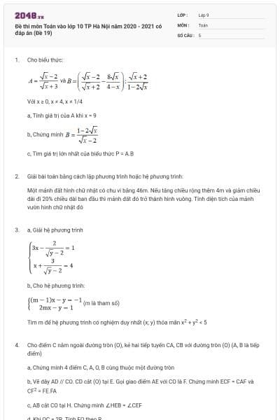
Đề thi môn Toán vào lớp 10 TP Hà Nội năm 2020 - 2021 có đáp án (Đề 19)
5 câu hỏi46 lượt thi
Đề thiToán - Lớp 9
Đề thi môn Toán vào lớp 10 TP Hà Nội năm 2020 - 2021 có đáp án (Đề 18)
5 câu hỏi49 lượt thi
Đề thiToán - Lớp 9
Đề thi môn Toán vào lớp 10 TP Hà Nội năm 2020 - 2021 có đáp án (Đề 17)
5 câu hỏi40 lượt thi
Đề thiToán - Lớp 9
Đề thi môn Toán vào lớp 10 TP Hà Nội năm 2020 - 2021 có đáp án (Đề 16)
5 câu hỏi26 lượt thi
Đề thiToán - Lớp 9
Đề thi môn Toán vào lớp 10 năm 2020 - 2021 có đáp án (Tự luận - Đề 15)
5 câu hỏi28 lượt thi
Đề thiToán - Lớp 9
Đề thi môn Toán vào lớp 10 năm 2020 - 2021 có đáp án (Tự luận - Đề 14)
5 câu hỏi22 lượt thi
Đề thiToán - Lớp 9
Đề thi môn Toán vào lớp 10 năm 2020 - 2021 có đáp án (Tự luận - Đề 13)
5 câu hỏi30 lượt thi
Đề thiToán - Lớp 9
Đề thi môn Toán vào lớp 10 năm 2020 - 2021 có đáp án (Tự luận - Đề 12)
5 câu hỏi26 lượt thi
Đề thiToán - Lớp 9
Đề thi môn Toán vào lớp 10 năm 2020 - 2021 có đáp án (Tự luận - Đề 11)
5 câu hỏi26 lượt thi
Đề thiToán - Lớp 9
Đề thi môn Toán vào lớp 10 năm 2020 - 2021 có đáp án (Tự luận - Đề 10)
5 câu hỏi17 lượt thi
Đề thiToán - Lớp 9
Đề thi môn Toán vào lớp 10 năm 2020 - 2021 có đáp án (Tự luận - Đề 9)
5 câu hỏi21 lượt thi
Đề thiToán - Lớp 9
Đề thi môn Toán vào lớp 10 năm 2020 - 2021 có đáp án (Tự luận - Đề 8)
5 câu hỏi27 lượt thi
Đề thiToán - Lớp 9
Đề thi môn Toán vào lớp 10 năm 2020 - 2021 có đáp án (Tự luận - Đề 7)
5 câu hỏi13 lượt thi
Đề thiToán - Lớp 9
Đề thi môn Toán vào lớp 10 năm 2020 - 2021 có đáp án (Tự luận - Đề 6)
5 câu hỏi23 lượt thi
Đề thiToán - Lớp 9
Đề thi môn Toán vào lớp 10 năm 2020 - 2021 có đáp án (Trắc nghiệm - Tự luận - Đề 5)
12 câu hỏi12 lượt thi
Đề thiToán - Lớp 9
Đề thi môn Toán vào lớp 10 năm 2020 - 2021 có đáp án (Trắc nghiệm - Tự luận - Đề 4)
13 câu hỏi23 lượt thi
Đề thiToán - Lớp 9
Đề thi môn Toán vào lớp 10 năm 2020 - 2021 có đáp án (Trắc nghiệm - Tự luận - Đề 3)
12 câu hỏi16 lượt thi
Đề thiToán - Lớp 9
Đề thi môn Toán vào lớp 10 năm 2020 - 2021 có đáp án (Trắc nghiệm - Tự luận - Đề 2)
12 câu hỏi24 lượt thi
Đề thiToán - Lớp 9
Đề thi môn Toán vào lớp 10 năm 2020 - 2021 có đáp án (Trắc nghiệm - Tự luận - Đề 1)
13 câu hỏi22 lượt thi
Đề thiToán - Lớp 9
19 đề ôn thi vào 10 chuyên hay có lời giải (Đề 19)
9 câu hỏi20 lượt thi
Đề thiToán - Lớp 9
19 đề ôn thi vào 10 chuyên hay có lời giải (Đề 18)
4 câu hỏi20 lượt thi
Đề thiToán - Lớp 9
19 đề ôn thi vào 10 chuyên hay có lời giải (Đề 17)
10 câu hỏi26 lượt thi
Đề thiToán - Lớp 9
19 đề ôn thi vào 10 chuyên hay có lời giải (Đề 16)
10 câu hỏi25 lượt thi
Đề thiToán - Lớp 9
19 đề ôn thi vào 10 chuyên hay có lời giải (Đề 15)
10 câu hỏi20 lượt thi























