1068 Đề thi thử Tốt nghiệp THPT Toán các năm trước
Đề thiToán - Tốt nghiệp THPT
30 Đề thi thử thpt quốc gia môn Toán hay nhất có lời giải chi tiết (Đề số 16)
50 câu hỏi5 lượt thi
Đề thiToán - Tốt nghiệp THPT
ĐỀ THAM KHẢO THPTQG 2019 MÔN TOÁN CÓ LỜI GIẢI CHI TIẾT (ĐỀ 8)
50 câu hỏi3 lượt thi
Đề thiToán - Tốt nghiệp THPT
30 đề thi thử thpt năm 2020 môn Toán cực hay có lời giải chi tiết (đề số 20)
50 câu hỏi3 lượt thi
Đề thiToán - Tốt nghiệp THPT
Tổng hợp đề thi thử THPT Quốc Gia cực hay có lời giải chi tiết (P10)
50 câu hỏi3 lượt thi
Đề thiToán - Tốt nghiệp THPT
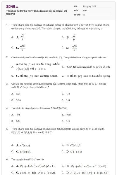
Tổng hợp đề thi thử THPT Quốc Gia cực hay có lời giải chi tiết (P9)
50 câu hỏi5 lượt thi
Đề thiToán - Tốt nghiệp THPT
Tổng hợp đề thi thử môn Toán mới nhất có lời giải chi tiết (Đề số 3)
51 câu hỏi7 lượt thi
Đề thiToán - Tốt nghiệp THPT
Tổng hợp đề thi thử môn Toán mới nhất có lời giải chi tiết (Đề số 2)
50 câu hỏi3 lượt thi
Đề thiToán - Tốt nghiệp THPT
30 Đề thi thử thpt quốc gia môn Toán có lời giải chi tiết mới nhất (Đề số 3)
50 câu hỏi3 lượt thi
Đề thiToán - Tốt nghiệp THPT
30 đề thi thử thpt năm 2020 môn Toán cực hay có lời giải chi tiết (đề số 19)
50 câu hỏi3 lượt thi
Đề thiToán - Tốt nghiệp THPT
Tổng hợp đề thi thử môn Toán cực hay có lời giải chi tiết mới nhất(P5)
49 câu hỏi3 lượt thi
Đề thiToán - Tốt nghiệp THPT
Bộ đề thi thử thpt quốc gia môn Toán cực hay (đề 12)
50 câu hỏi3 lượt thi
Đề thiToán - Tốt nghiệp THPT
ĐỀ THI THỬ THPTQG NĂM 2019 MÔN TOÁN CHUẨN CẤU TRÚC CỦA BỘ GIÁO DỤC( Đề 17)
50 câu hỏi3 lượt thi
Đề thiToán - Tốt nghiệp THPT
ĐỀ THI THỬ THPTQG NĂM 2019 MÔN TOÁN CHUẨN CẤU TRÚC CỦA BỘ GIÁO DỤC ( Đề 16)
50 câu hỏi3 lượt thi
Đề thiToán - Tốt nghiệp THPT
Bộ đề thi thử thpt quốc gia môn Toán cực hay (đề 11)
50 câu hỏi3 lượt thi
Đề thiToán - Tốt nghiệp THPT
30 Đề thi thử thpt quốc gia môn Toán có lời giải chi tiết mới nhất (Đề số 2)
50 câu hỏi3 lượt thi
Đề thiToán - Tốt nghiệp THPT
30 đề thi thử thpt năm 2020 môn Toán cực hay có lời giải chi tiết (đề số 18)
50 câu hỏi9 lượt thi
Đề thiToán - Tốt nghiệp THPT
30 đề thi thử thpt năm 2020 môn Toán cực hay có lời giải chi tiết (đề số 17)
50 câu hỏi5 lượt thi
Đề thiToán - Tốt nghiệp THPT
Bộ Đề thi THPT Quốc gia chuẩn cấu trúc Bộ Giáo dục môn Toán 2019 (Đề số 4)
50 câu hỏi3 lượt thi
Đề thiToán - Tốt nghiệp THPT
Tổng hợp đề thi thử thptqg môn Toán có lời giải (đề 6)
50 câu hỏi3 lượt thi
Đề thiToán - Tốt nghiệp THPT
30 đề thi thử thpt năm 2020 môn Toán cực hay có lời giải chi tiết (đề số 16)
50 câu hỏi5 lượt thi
Đề thiToán - Tốt nghiệp THPT
30 đề thi thử Toán thpt quốc gia cực hay (đề số 1)
50 câu hỏi5 lượt thi
Đề thiToán - Tốt nghiệp THPT
30 đề thi thử thpt năm 2020 môn Toán cực hay có lời giải chi tiết (đề số 15)
50 câu hỏi3 lượt thi























