Lớp
Lớp 1Lớp 2Lớp 3Lớp 4Lớp 5Lớp 6Lớp 7Lớp 8Lớp 9Lớp 10Lớp 11Lớp 12Tốt nghiệp THPTÔn vào 6Ôn vào 10Môn
- Toán
- Đề thi thử Toán Tốt nghiệp THPT 2025-2026
- (2025 mới) Đề ôn thi tốt nghiệp THPT Toán
- 20 Đề thi thử Tốt nghiệp THPT Toán năm 2025
- 50 Đề ôn thi Toán Tốt nghiệp năm 2025
- (2025) Tổng ôn Toán ôn thi tốt nghiệp có đáp án
- 1000+ bài tập tổng ôn môn Toán 12 có lời giải
- 20 Đề ôn thi Tốt nghiệp THPT Toán năm 2024
- Ôn trắc nghiệm Toán thi Tốt nghiệp THPT năm 2024
- 9 Đề thi thử THPT Quốc gia Toán năm 2023
- 4 Đề thi thử THPT Quốc gia Toán năm 2022
- 1068 Đề thi thử Tốt nghiệp THPT Toán các năm trước
- Đề thi thử THPT môn Toán năm 2024
QuizToán - Tốt nghiệp THPT
Bộ đề thi thử thpt quốc gia môn Toán cực hay (đề 5)
50 câu hỏi5 lượt thi
QuizToán - Tốt nghiệp THPT
30 đề thi thử thpt năm 2020 môn Toán cực hay có lời giải chi tiết (đề số 4)
50 câu hỏi3 lượt thi
QuizToán - Tốt nghiệp THPT
30 đề thi thử thpt năm 2020 môn Toán cực hay có lời giải chi tiết (đề số 3)
46 câu hỏi3 lượt thi
QuizToán - Tốt nghiệp THPT
ĐỀ THI THỬ THPTQG NĂM 2019 MÔN TOÁN CHUẨN CẤU TRÚC CỦA BỘ GIÁO DỤC ( Đề 11)
50 câu hỏi3 lượt thi
QuizToán - Tốt nghiệp THPT
30 đề thi thử thpt năm 2020 môn Toán cực hay có lời giải chi tiết (đề số 2)
50 câu hỏi3 lượt thi
QuizToán - Tốt nghiệp THPT
ĐỀ THI THỬ THPT QUỐC GIA NĂM HỌC 2019 MÔN TOÁN (Đề số 19)
50 câu hỏi5 lượt thi
QuizToán - Tốt nghiệp THPT
Đề ôn luyện thi thpt quốc gia môn Toán cực hay có lời giải chi tiết (Đề số 25)
50 câu hỏi3 lượt thi
QuizToán - Tốt nghiệp THPT
Đề thi thử THPTQG môn Toán cực hay có lời giải chi tiết (Đề 29)
50 câu hỏi4 lượt thi
QuizToán - Tốt nghiệp THPT
ĐỀ THI THỬ THPTQG NĂM 2019 MÔN TOÁN CHUẨN CẤU TRÚC CỦA BỘ GIÁO DỤC (Đề 10)
50 câu hỏi3 lượt thi
QuizToán - Tốt nghiệp THPT
20 Bộ đề ôn luyện thpt quốc gia môn Toán có lời giải (Đề số 3)
50 câu hỏi4 lượt thi
QuizToán - Tốt nghiệp THPT
Bộ đề thi thử thpt quốc gia môn Toán cực hay (đề 4)
50 câu hỏi3 lượt thi
QuizToán - Tốt nghiệp THPT
Đề ôn luyện thi thpt quốc gia môn Toán cực hay có lời giải chi tiết (Đề số 24)
51 câu hỏi3 lượt thi
QuizToán - Tốt nghiệp THPT
ĐỀ THI THỬ THPT QUỐC GIA NĂM HỌC 2019 MÔN TOÁN (Đề số 11)
50 câu hỏi3 lượt thi
QuizToán - Tốt nghiệp THPT
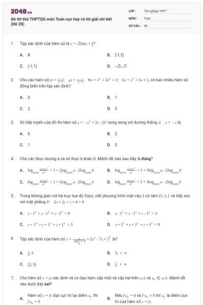
Đề thi thử THPTQG môn Toán cực hay có lời giải chi tiết (Đề 28)
49 câu hỏi3 lượt thi
QuizToán - Tốt nghiệp THPT
Đề ôn luyện thi thpt quốc gia môn Toán cực hay có lời giải chi tiết (Đề số 23)
50 câu hỏi3 lượt thi
QuizToán - Tốt nghiệp THPT
ĐỀ THI THỬ THPTQG NĂM 2019 MÔN TOÁN CHUẨN CẤU TRÚC CỦA BỘ GIÁO DỤC( Đề 9)
50 câu hỏi3 lượt thi
QuizToán - Tốt nghiệp THPT
Bộ đề thi thử thpt quốc gia môn Toán cực hay (đề 3)
50 câu hỏi3 lượt thi
QuizToán - Tốt nghiệp THPT
ĐỀ THI THỬ THPT QUỐC GIA NĂM HỌC 2019 MÔN TOÁN (Đề số 16)
50 câu hỏi3 lượt thi
QuizToán - Tốt nghiệp THPT
Đề ôn luyện thi thpt quốc gia môn Toán cực hay có lời giải chi tiết (Đề số 22)
50 câu hỏi3 lượt thi
QuizToán - Tốt nghiệp THPT
ĐỀ THAM KHẢO THPTQG 2019 MÔN TOÁN CÓ LỜI GIẢI CHI TIẾT (ĐỀ 5)
51 câu hỏi3 lượt thi
QuizToán - Tốt nghiệp THPT
Bộ đề thi thử thpt quốc gia môn Toán cực hay (đề 2)
50 câu hỏi2 lượt thi
QuizToán - Tốt nghiệp THPT
Đề ôn luyện thi thpt quốc gia môn Toán cực hay có lời giải chi tiết (Đề số 21)
50 câu hỏi3 lượt thi























