Lớp
Lớp 1Lớp 2Lớp 3Lớp 4Lớp 5Lớp 6Lớp 7Lớp 8Lớp 9Lớp 10Lớp 11Lớp 12Tốt nghiệp THPTÔn vào 6Ôn vào 10Môn
- ToánToán Lớp 11
- Hàm số lượng giác và phương trình lượng giác
- Tổ hợp - xác suất
- Dãy số - Cấp số cộng và cấp số nhân
- Giới hạn
- Đạo hàm
- Phép dời hình và phép đồng dạng trong mặt phẳng
- Đường thẳng và mặt phẳng trong không gian. Quan hệ song song
- Vectơ trong không gian. Quan hệ vuông góc trong không gian
- Trắc nghiệm tổng hợp Toán 11
- Đề thi Toán 11
- Bài tập Toán lớp 11 (Tự luận)
- Chuyên đề Toán 11
Toán Lớp 11
- Chủ đề:
- Hàm số lượng giác và phương trình lượng giác
- Tổ hợp - xác suất
- Dãy số - Cấp số cộng và cấp số nhân
- Giới hạn
- Đạo hàm
- Phép dời hình và phép đồng dạng trong mặt phẳng
- Đường thẳng và mặt phẳng trong không gian. Quan hệ song song
- Vectơ trong không gian. Quan hệ vuông góc trong không gian
- Trắc nghiệm tổng hợp Toán 11
- Đề thi Toán 11
- Bài tập Toán lớp 11 (Tự luận)
- Chuyên đề Toán 11
QuizToán - Lớp 11
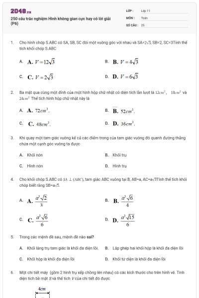
250 câu trắc nghiệm Hình không gian cực hay có lời giải (P9)
25 câu hỏi3 lượt thi
QuizToán - Lớp 11
Bài tập Vectơ trong không gian. Quan hệ vuông góc trong không gian (P2)
41 câu hỏi3 lượt thi
QuizToán - Lớp 11
250 câu trắc nghiệm Hình không gian cực hay có lời giải (P8)
25 câu hỏi3 lượt thi
QuizToán - Lớp 11
106 Bài trắc nghiệm Giới hạn trong đề thi đại học (P2)
25 câu hỏi3 lượt thi
QuizToán - Lớp 11
15 câu Lượng giác ôn thi Đại học có đáp án (P2)
8 câu hỏi3 lượt thi
QuizToán - Lớp 11
8 Bài tập Lượng giác ôn thi đại học có lời giải (P1)
8 câu hỏi10 lượt thi
QuizToán - Lớp 11
250 câu trắc nghiệm Hình không gian cực hay có lời giải (P7)
25 câu hỏi3 lượt thi
QuizToán - Lớp 11
15 câu Lượng giác ôn thi đại học (P1)
1 câu hỏi3 lượt thi
QuizToán - Lớp 11
17 câu Lượng giác ôn thi đại học (P1)
17 câu hỏi3 lượt thi
QuizToán - Lớp 11
Bài tập đường thẳng và mặt phẳng trong không gian. Quan hệ song song (P2)
15 câu hỏi3 lượt thi
QuizToán - Lớp 11
Bài tập Nhị thức Newton cơ bản, nâng cao có lời giải (P3)
30 câu hỏi3 lượt thi
QuizToán - Lớp 11
10 câu trắc nghiệm lượng giác cơ bản (P2)
5 câu hỏi3 lượt thi
QuizToán - Lớp 11
10 câu trắc nghiệm Lượng giác cơ bản (P1)
5 câu hỏi3 lượt thi
QuizToán - Lớp 11
15 câu tắc nghiệm lượng giác (P1)
15 câu hỏi3 lượt thi
QuizToán - Lớp 11
Bài Tập Lượng Giác cơ bản (P1)
2 câu hỏi3 lượt thi
QuizToán - Lớp 11
250 câu trắc nghiệm Hình không gian cực hay có lời giải (P6)
25 câu hỏi3 lượt thi
QuizToán - Lớp 11
Bài tập Lượng giác lớp 11 cơ bản, nâng cao có lời giải (P3)
30 câu hỏi6 lượt thi
QuizToán - Lớp 11
Bài tập Nhị thức Newton ôn thi THPT Quốc gia có lời giải chi tiết (P5)
32 câu hỏi3 lượt thi
QuizToán - Lớp 11
Bài tập Tịnh tiến lớp 11 cơ bản , nâng cao có lời giải (P5)
25 câu hỏi3 lượt thi
QuizToán - Lớp 11
106 Bài trắc nghiệm Giới hạn trong đề thi đại học (P1)
25 câu hỏi3 lượt thi
QuizToán - Lớp 11
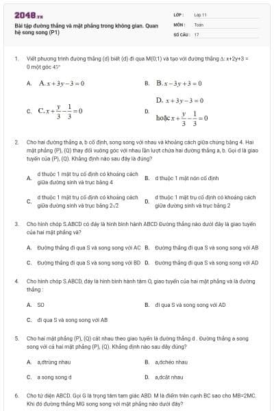
Bài tập đường thẳng và mặt phẳng trong không gian. Quan hệ song song (P1)
17 câu hỏi3 lượt thi
QuizToán - Lớp 11
Bài tập Nhị thức Newton ôn thi THPT Quốc gia có lời giải chi tiết (P4)
30 câu hỏi3 lượt thi
QuizToán - Lớp 11
Bài tập Tịnh tiến lớp 11 cơ bản, nâng cao có lời giải (P4)
25 câu hỏi3 lượt thi























