QuizToán - Lớp 8
Trắc nghiệm Chuyên đề 8 Chủ đề 7: Chia đa thức một biến đã sắp xếp (có đáp án)
8 câu hỏi9 lượt thi
QuizToán - Lớp 8
Trắc nghiệm chuyên đề Toán 8 Chủ đề 3. Diện tích tam giác có đáp án
6 câu hỏi9 lượt thi
QuizToán - Lớp 8
Trắc nghiệm chuyên đề Toán 8 Chủ đề 2. Diện tích hình chữ nhật có đáp án
10 câu hỏi9 lượt thi
QuizToán - Lớp 8
Trắc nghiệm chuyên đề Toán 8 Chủ đề 1. Đa giác. Đa giác đều có đáp án
6 câu hỏi9 lượt thi
QuizToán - Lớp 8
Trắc nghiệm chuyên đề Toán 8 Chủ đề 6: Chia đa thức cho đơn thức (có đáp án)
8 câu hỏi7 lượt thi
QuizToán - Lớp 8
Trắc nghiệm Chuyên đề Toán 8 Chủ đề 5: Chia đơn thức cho đơn thức (có đáp án)
6 câu hỏi11 lượt thi
QuizToán - Lớp 8
Trắc nghiệm chuyên đề Toán 8 Chủ đề 4: Phân tích đa thức thành nhân tử bằng một số phương pháp (có đáp án)
10 câu hỏi11 lượt thi
QuizToán - Lớp 8
Trắc nghiệm chuyên đề Toán 8 Chủ đề 10. Ôn tập và kiểm tra có đáp án (Đề kiểm tra 1 tiết - Đề 2)
15 câu hỏi6 lượt thi
QuizToán - Lớp 8
Trắc nghiệm chuyên đề Toán 8 Chủ đề 10. Ôn tập và kiểm tra có đáp án (Đề kiểm tra 1 tiết - Đề 1)
8 câu hỏi6 lượt thi
QuizToán - Lớp 8
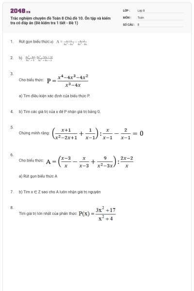
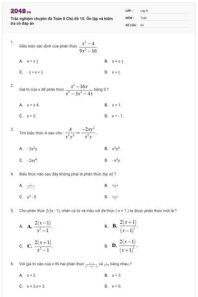
Trắc nghiệm chuyên đề Toán 8 Chủ đề 10. Ôn tập và kiểm tra có đáp án
69 câu hỏi9 lượt thi
QuizToán - Lớp 8
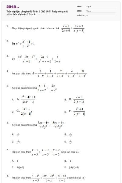
Trắc nghiệm chuyên đề Toán 8 Chủ đề 8. Phép chia các phân thức đại số có đáp án
9 câu hỏi9 lượt thi
QuizToán - Lớp 8
Trắc nghiệm chuyên đề Toán 8 Chủ đề 8. Phép chia các phân thức đại số có đáp án
9 câu hỏi8 lượt thi
QuizToán - Lớp 8
Trắc nghiệm chuyên đề Toán 8 Chủ đề 3: Những hằng đảng thức đáng nhớ (có đáp án)
10 câu hỏi9 lượt thi
QuizToán - Lớp 8
Trắc nghiệm chuyên đề Toán 8 Chủ đề 2: Nhân đa thức với đa thức (có đáp án)
10 câu hỏi11 lượt thi
QuizToán - Lớp 8
Trắc nghiệm chuyên đề Toán 8 Chủ đề 7. Phép nhân các phân thức đại số có đáp án
8 câu hỏi8 lượt thi
QuizToán - Lớp 8
Trắc nghiệm chuyên đề Toán 8 Chủ đề 6. Phép trừ các phân thức đại số có đáp án
9 câu hỏi9 lượt thi
QuizToán - Lớp 8
Trắc nghiệm chuyên đề Toán 8 Chủ đề 5. Phép cộng các phân thức đại số có đáp án
9 câu hỏi11 lượt thi
QuizToán - Lớp 8
Trắc nghiệm chuyên đề Toán 8 Chủ đề 4. Quy đồng mẫu thức nhiều phân thức có đáp án
6 câu hỏi9 lượt thi
QuizToán - Lớp 8
Trắc nghiệm chuyên đề Toán 8 Chủ đề 3. Rút gọn phân thức có đáp án
14 câu hỏi12 lượt thi
QuizToán - Lớp 8
Trắc nghiệm chuyên đề Toán 8 Chủ đề 2. Tính chất cơ bản của phân thức có đáp án
8 câu hỏi15 lượt thi
QuizToán - Lớp 8
Trắc nghiệm chuyên đề Toán 8 Chủ đề 1. Phân thức đại số có đáp án
10 câu hỏi8 lượt thi
QuizToán - Lớp 8
Trắc nghiệm chuyên đề Toán 8 Chủ đề 1: Nhân đơn thức với đa thức (có đáp án)
20 câu hỏi12 lượt thi
QuizToán - Lớp 8
Đề kiểm tra cuối kỳ 2 Toán 8 có đáp án ( Mới nhất)_ đề 11
5 câu hỏi13 lượt thi
QuizToán - Lớp 8
Bài tập theo tuần Toán 8 - Tuần 19 (đề 2)
20 câu hỏi11 lượt thi























