QuizToán - Lớp 12
238 câu Bài tâp Nguyên Hàm, Tích phân cơ bản, nâng cao cực hay có lời giải (P2)
25 câu hỏi4 lượt thi
QuizToán - Lớp 12
210 câu hàm số cực hay có lời giải chi tiết(p2)
30 câu hỏi2 lượt thi
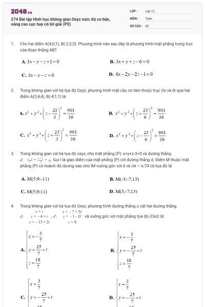
QuizToán - Lớp 12
274 Bài tập Hình học không gian Oxyz mức độ cơ bản, nâng cao cực hay có lời giải (P5)
42 câu hỏi2 lượt thi
QuizToán - Lớp 12
206 câu Bài tập Nguyên hàm, tích phân cơ bản, nâng cao cực hay có lời giải chi tiết (P7)
26 câu hỏi4 lượt thi
QuizToán - Lớp 12
120 câu Bài tập Hình học tọa độ không gian Oxyz cực hay có lời giải (P3)
40 câu hỏi4 lượt thi
QuizToán - Lớp 12
140 câu Bài tập Hàm số mũ và Logarit cơ bản, nâng cao cực hay có lời giải chi tiết (P3)
35 câu hỏi4 lượt thi
QuizToán - Lớp 12
206 câu Bài tập Nguyên hàm, tích phân cơ bản, nâng cao cực hay có lời giải chi tiết (P6)
30 câu hỏi4 lượt thi
QuizToán - Lớp 12
Bài tập Hàm số mức độ cơ bản, nâng cao cực hay có lời giải chi tiết(P7)
30 câu hỏi2 lượt thi
QuizToán - Lớp 12
140 câu Bài tập Hàm số mũ và Logarit cơ bản, nâng cao cực hay có lời giải chi tiết (P2)
35 câu hỏi4 lượt thi
QuizToán - Lớp 12
139 câu Bài tập Hình học mặt nón, mặt trụ, mặt cầu có đáp án (P4)
30 câu hỏi4 lượt thi
QuizToán - Lớp 12
300 Bài trắc nghiệm Hàm số mũ và Logarit cơ bản, nâng cao có lời giải chi tiết (P5)
40 câu hỏi4 lượt thi
QuizToán - Lớp 12
200 Bài tập nguyên hàm tích phân cơ bản, nâng cao (P9)
24 câu hỏi4 lượt thi
QuizToán - Lớp 12
175 câu Bài tập Số phức từ đề thi Đại học cực hay có lời giải chi tiết (P6)
25 câu hỏi4 lượt thi
QuizToán - Lớp 12
210 câu hàm số cực hay có lời giải chi tiết(p1)
30 câu hỏi2 lượt thi
QuizToán - Lớp 12
140 câu Bài tập Hàm số mũ và Logarit cơ bản, nâng cao cực hay có lời giải chi tiết (P1)
35 câu hỏi4 lượt thi
QuizToán - Lớp 12
256 Bài tập Hàm số mũ và Logarit cực hay có lời giải chi tiết (P5)
53 câu hỏi4 lượt thi
QuizToán - Lớp 12
Bài tập Hàm số mức độ cơ bản, nâng cao cực hay có lời giải chi tiết(P6)
30 câu hỏi2 lượt thi
QuizToán - Lớp 12
300 Bài trắc nghiệm Hàm số mũ và Logarit cơ bản, nâng cao có lời giải chi tiết (P4)
40 câu hỏi4 lượt thi
QuizToán - Lớp 12
274 Bài tập Hình học không gian Oxyz mức độ cơ bản, nâng cao cực hay có lời giải (P4)
40 câu hỏi2 lượt thi
QuizToán - Lớp 12
264 Bài trắc nghiệm Khối đa diện cực hay có lời giải (P1)
40 câu hỏi2 lượt thi
QuizToán - Lớp 12
120 câu Bài tập Hình học tọa độ trong không gian Oxyz cực hay có lời giải (P2)
40 câu hỏi4 lượt thi
QuizToán - Lớp 12
300 Bài trắc nghiệm hàm số cơ bản, nâng cao cực hay có lời giải (P1)
30 câu hỏi2 lượt thi























