Toán Lớp 12
Đề thiToán - Lớp 12
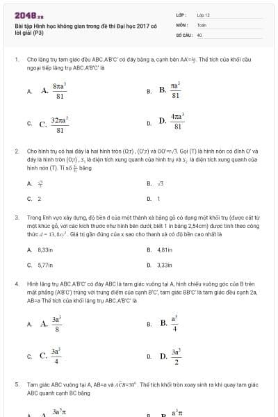
278 bài trắc nghiệm Hình học không gian từ đề thi đại học có lời giải chi tiết (P1)
30 câu hỏi1 lượt thi
Đề thiToán - Lớp 12
213 câu Bài tập Tích phân cơ bản, nâng cao có lời giải (P5)
25 câu hỏi5 lượt thi
Đề thiToán - Lớp 12
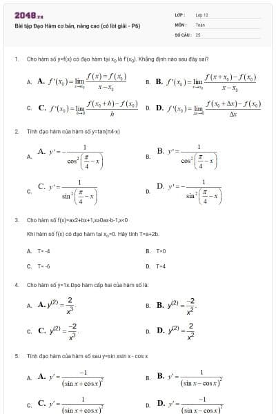
Bài tập Đạo Hàm cơ bản, nâng cao (có lời giải - P6)
25 câu hỏi1 lượt thi
Đề thiToán - Lớp 12
213 câu Bài tập Tích phân cơ bản, nâng cao có lời giải (P4)
25 câu hỏi2 lượt thi
Đề thiToán - Lớp 12
213 câu Bài tập Tích phân cơ bản, nâng cao có lời giải (P3)
25 câu hỏi2 lượt thi
Đề thiToán - Lớp 12
213 câu Bài tập Tích phân cơ bản, nâng cao có lời giải (P2)
25 câu hỏi2 lượt thi
Đề thiToán - Lớp 12
Bài tập Đạo Hàm cơ bản, nâng cao (có lời giải - P5)
25 câu hỏi1 lượt thi
Đề thiToán - Lớp 12
Bài tập Hình học không gian OXYZ cơ bản, nâng cao có lời giải (P12)
22 câu hỏi1 lượt thi
Đề thiToán - Lớp 12
Bài tập Đạo Hàm cơ bản, nâng cao (có lời giải - P4)
25 câu hỏi1 lượt thi
Đề thiToán - Lớp 12
213 câu Bài tập Tích phân cơ bản, nâng cao có lời giải (P1)
23 câu hỏi5 lượt thi
Đề thiToán - Lớp 12
250 câu Bài tập Tích phân ôn thi Đại học có lời giải (P10)
25 câu hỏi2 lượt thi
Đề thiToán - Lớp 12
250 câu Bài tập Tích phân ôn thi Đại học có lời giải (P9)
25 câu hỏi2 lượt thi
Đề thiToán - Lớp 12
250 câu Bài tập Tích phân ôn thi Đại học có lời giải (P8)
25 câu hỏi2 lượt thi
Đề thiToán - Lớp 12
Bài tập Hình học không gian OXYZ cơ bản, nâng cao có lời giải (P11)
30 câu hỏi1 lượt thi
Đề thiToán - Lớp 12
215 câu Bài tập Hàm số mũ, logarit cơ bản, nâng cao có lời giải (P7)
40 câu hỏi2 lượt thi
Đề thiToán - Lớp 12
250 câu Bài tập Tích phân ôn thi Đại học có lời giải (P7)
25 câu hỏi2 lượt thi
Đề thiToán - Lớp 12
Bài tập Hình học không gian OXYZ cơ bản, nâng cao có lời giải (P10)
30 câu hỏi1 lượt thi
Đề thiToán - Lớp 12
240 câu Bài tập Hàm số mũ, logarit ôn thi THPT Quốc gia có lời giải (P2)
30 câu hỏi3 lượt thi
Đề thiToán - Lớp 12
225 Bài tập Số phức ôn thi Đại học có lời giải (P8)
24 câu hỏi2 lượt thi
Đề thiToán - Lớp 12
Bài tập Hình học không gian OXYZ cơ bản, nâng cao có lời giải (P9)
30 câu hỏi1 lượt thi
Đề thiToán - Lớp 12
250 câu Bài tập Tích phân ôn thi Đại học có lời giải (P6)
25 câu hỏi3 lượt thi
Đề thiToán - Lớp 12
225 Bài tập Số phức ôn thi Đại học có lời giải (P7)
25 câu hỏi2 lượt thi
Đề thiToán - Lớp 12
250 câu Bài tập Tích phân ôn thi Đại học có lời giải (P5)
25 câu hỏi2 lượt thi
Đề thiToán - Lớp 12
225 Bài tập Số phức ôn thi Đại học có lời giải (P6)
25 câu hỏi2 lượt thi























