Toán Lớp 12
Đề thiToán - Lớp 12
Bài tập Thể tích khối trụ, khối cầu cực hay có lời giải chi tiết (P2)
25 câu hỏi2 lượt thi
Đề thiToán - Lớp 12
174 Bài tập Hàm số mũ Logarit cực hay từ đề thi đại học có đáp án(P2)
35 câu hỏi2 lượt thi
Đề thiToán - Lớp 12
299 Bài trắc nghiệm hàm số mũ, hàm số Logarit siêu hay có lời giải chi tiết (P3)
40 câu hỏi2 lượt thi
Đề thiToán - Lớp 12
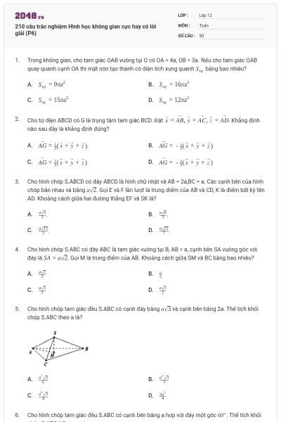
204 Bài trắc nghiệm Hình học không gian Oxyz cơ bản, nâng cao cực hay có đáp án (P2)
35 câu hỏi1 lượt thi
Đề thiToán - Lớp 12
291 Bài trắc nghiệm Hàm số Cực hay có lời giải chi tiết (P3)
40 câu hỏi1 lượt thi
Đề thiToán - Lớp 12
244 Bài trắc nghiệm mũ và hàm số lũy thừa cực hay có lời giải (P4)
26 câu hỏi2 lượt thi
Đề thiToán - Lớp 12
190 Bài trắc nghiệm Số phức từ đề thi đại học cực hay có lời giải (P2)
40 câu hỏi2 lượt thi
Đề thiToán - Lớp 12
299 Bài trắc nghiệm hàm số mũ, hàm số Logarit siêu hay có lời giải chi tiết (P2)
40 câu hỏi2 lượt thi
Đề thiToán - Lớp 12
174 Bài tập Hàm số mũ Logarit cực hay từ đề thi đại học có đáp án(P1)
34 câu hỏi2 lượt thi
Đề thiToán - Lớp 12
244 Bài trắc nghiệm mũ và hàm số lũy thừa cực hay có lời giải (P3)
27 câu hỏi2 lượt thi
Đề thiToán - Lớp 12
79 câu Bài tập mặt nón, mặt trụ, mặt cầu từ đề thi Đại học (P3)
29 câu hỏi2 lượt thi
Đề thiToán - Lớp 12
79 câu Bài tập mặt nón, mặt trụ, mặt cầu từ đề thi Đạị học (P2)
25 câu hỏi2 lượt thi
Đề thiToán - Lớp 12
204 Bài trắc nghiệm Hình học không gian Oxyz cơ bản, nâng cao cực hay có đáp án (P1)
35 câu hỏi1 lượt thi
Đề thiToán - Lớp 12
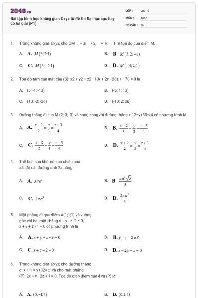
Bài tập hình học không gian Oxyz từ đề thi Đại học cực hay có lời giải (P1)
36 câu hỏi5 lượt thi
Đề thiToán - Lớp 12
79 câu Bài tập mặt nón, mặt trụ, mặt cầu từ đề thi Đạị học (P1)
25 câu hỏi2 lượt thi
Đề thiToán - Lớp 12
187 Bài trắc nghiệm khối đa diện từ đề thi đại học có đáp án chi tiết (P3)
35 câu hỏi1 lượt thi
Đề thiToán - Lớp 12
Bài tập Khối đa diện từ đề thi Đại học có lời giải chi tiết (P2)
30 câu hỏi1 lượt thi
Đề thiToán - Lớp 12
139 câu Bài tập Hình học mặt nón, mặt trụ, mặt cầu có đáp án (P2)
30 câu hỏi3 lượt thi
Đề thiToán - Lớp 12
210 câu Bài tập Tích phân cực hay có lời giải (P5)
25 câu hỏi20 lượt thi
Đề thiToán - Lớp 12
244 Bài trắc nghiệm mũ và hàm số lũy thừa cực hay có lời giải (P2)
27 câu hỏi2 lượt thi
Đề thiToán - Lớp 12
Bài tập Khối đa diện từ đề thi Đại học có lời giải chi tiết (P1)
30 câu hỏi1 lượt thi
Đề thiToán - Lớp 12
210 câu Bài tập Tích phân cực hay có lời giải (P4)
25 câu hỏi2 lượt thi
Đề thiToán - Lớp 12
187 Bài trắc nghiệm khối đa diện từ đề thi đại học có đáp án chi tiết (P2)
35 câu hỏi2 lượt thi
Đề thiToán - Lớp 12
210 câu Bài tập Tích phân cực hay có lời giải (P3)
25 câu hỏi2 lượt thi























