Toán Lớp 12
Đề thiToán - Lớp 12
299 Bài trắc nghiệm hàm số mũ, hàm số Logarit siêu hay có lời giải chi tiết (P8)
19 câu hỏi2 lượt thi
Đề thiToán - Lớp 12
Bài tập Hàm số mức độ cơ bản, nâng cao cực hay có lời giải chi tiết(P1)
30 câu hỏi1 lượt thi
Đề thiToán - Lớp 12
291 Bài trắc nghiệm Hàm số Cực hay có lời giải chi tiết (P5)
40 câu hỏi1 lượt thi
Đề thiToán - Lớp 12
175 câu Bài tập Số phức từ đề thi Đại học cực hay có lời giải chi tiết (P1)
25 câu hỏi3 lượt thi
Đề thiToán - Lớp 12
139 câu Bài tập Hình học mặt nón, mặt trụ, mặt cầu có đáp án (P3)
30 câu hỏi2 lượt thi
Đề thiToán - Lớp 12
191 câu Bài tập số phức mức độ cơ bản, nâng cao cực hay có lời giải chi tiết(P7)
11 câu hỏi2 lượt thi
Đề thiToán - Lớp 12
255 Bài trắc nghiệm Hàm số mũ và Logarit cơ bản nâng cao cực hay có lời giải (P6)
27 câu hỏi2 lượt thi
Đề thiToán - Lớp 12
191 câu Bài tập số phức mức độ cơ bản, nâng cao cực hay có lời giải chi tiết(P6)
30 câu hỏi2 lượt thi
Đề thiToán - Lớp 12
191 câu Bài tập số phức mức độ cơ bản, nâng cao cực hay có lời giải chi tiết(P5)
30 câu hỏi2 lượt thi
Đề thiToán - Lớp 12
210 câu Bài tập Tích phân cực hay có lời giải (P9)
10 câu hỏi2 lượt thi
Đề thiToán - Lớp 12
200 Bài tập nguyên hàm tích phân cơ bản, nâng cao (P4)
25 câu hỏi2 lượt thi
Đề thiToán - Lớp 12
210 câu Bài tập Tích phân cực hay có lời giải (P8)
25 câu hỏi2 lượt thi
Đề thiToán - Lớp 12
191 câu Bài tập số phức mức độ cơ bản, nâng cao cực hay có lời giải chi tiết(P4)
30 câu hỏi2 lượt thi
Đề thiToán - Lớp 12
190 Bài trắc nghiệm Số phức từ đề thi đại học cực hay có lời giải (P5)
28 câu hỏi2 lượt thi
Đề thiToán - Lớp 12
Bài tập Khối đa diện từ đề thi Đại học có lời giải chi tiết (P4)
31 câu hỏi1 lượt thi
Đề thiToán - Lớp 12
204 Bài trắc nghiệm Hình học không gian Oxyz cơ bản, nâng cao cực hay có đáp án (P3)
35 câu hỏi1 lượt thi
Đề thiToán - Lớp 12
187 Bài trắc nghiệm khối đa diện từ đề thi đại học có đáp án chi tiết (P5)
40 câu hỏi1 lượt thi
Đề thiToán - Lớp 12
299 Bài trắc nghiệm hàm số mũ, hàm số Logarit siêu hay có lời giải chi tiết (P7)
40 câu hỏi2 lượt thi
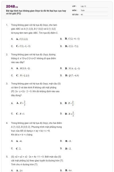
Đề thiToán - Lớp 12
Bài tập hình học không gian Oxyz từ đề thi Đại học cực hay có lời giải (P2)
40 câu hỏi1 lượt thi
Đề thiToán - Lớp 12
206 câu Bài tập Nguyên hàm, tích phân cơ bản, nâng cao cực hay có lời giải chi tiết (P4)
30 câu hỏi2 lượt thi
Đề thiToán - Lớp 12
206 câu Bài tập Nguyên hàm, tích phân cơ bản, nâng cao cực hay có lời giải chi tiết (P3)
30 câu hỏi2 lượt thi
Đề thiToán - Lớp 12
206 câu Bài tập Nguyên hàm, tích phân cơ bản, nâng cao cực hay có lời giải chi tiết (P2)
30 câu hỏi2 lượt thi























