QuizToán - Lớp 12
208 Bài trắc nghiệm Hàm số cơ bản, nâng cao cực hay có lời giải (P4)
30 câu hỏi2 lượt thi
QuizToán - Lớp 12
220 Bài trắc nghiệm Hàm số từ đề thi thử THPTQG 2019 cực hay có lời giải chi tiết (P4)
30 câu hỏi2 lượt thi
QuizToán - Lớp 12
220 Bài trắc nghiệm Hàm số từ đề thi thử THPTQG 2019 cực hay có lời giải chi tiết (P3)
30 câu hỏi2 lượt thi
QuizToán - Lớp 12
220 Bài trắc nghiệm Hàm số từ đề thi thử THPTQG 2019 cực hay có lời giải chi tiết (P2)
30 câu hỏi2 lượt thi
QuizToán - Lớp 12
135 câu Bài tập Hình học mặt nón, mặt trụ, mặt cầu cực hay có lời giải (P4)
30 câu hỏi4 lượt thi
QuizToán - Lớp 12
253 Bài tập Số phức từ đề thi Đại học cực hay có lời giải(p3)
25 câu hỏi4 lượt thi
QuizToán - Lớp 12
199 Bài trắc nghiệm Hàm số từ đề thi thử cực hay có lời giải (P6)
25 câu hỏi2 lượt thi
QuizToán - Lớp 12
135 câu Bài tập Hình học mặt nón, mặt trụ, mặt cầu cực hay có lời giải (P3)
35 câu hỏi4 lượt thi
QuizToán - Lớp 12
333 Bài trắc nghiệm Hình học Khối đa diện cực hay có lời giải chi tiết (P11)
21 câu hỏi3 lượt thi
QuizToán - Lớp 12
333 Bài trắc nghiệm Hình học Khối đa diện cực hay có lời giải chi tiết (P10)
30 câu hỏi3 lượt thi
QuizToán - Lớp 12
333 Bài trắc nghiệm Hình học Khối đa diện cực hay có lời giải chi tiết (P9)
30 câu hỏi3 lượt thi
QuizToán - Lớp 12
333 Bài trắc nghiệm Hình học Khối đa diện cực hay có lời giải chi tiết (P8)
30 câu hỏi2 lượt thi
QuizToán - Lớp 12
333 Bài trắc nghiệm Hình học Khối đa diện cực hay có lời giải chi tiết (P7)
30 câu hỏi3 lượt thi
QuizToán - Lớp 12
333 Bài trắc nghiệm Hình học Khối đa diện cực hay có lời giải chi tiết (P6)
30 câu hỏi3 lượt thi
QuizToán - Lớp 12
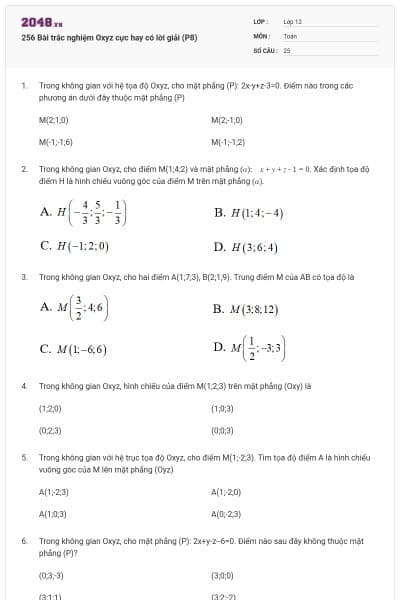
256 Bài trắc nghiệm Oxyz cực hay có lời giải (P9)
25 câu hỏi2 lượt thi
QuizToán - Lớp 12
256 Bài trắc nghiệm Oxyz cực hay có lời giải (P8)
25 câu hỏi2 lượt thi
QuizToán - Lớp 12
Bài tập tọa độ không gian Oxyz cực hay có lời giải chi tiết (P2)
1 câu hỏi2 lượt thi
QuizToán - Lớp 12
256 Bài trắc nghiệm Oxyz cực hay có lời giải (P7)
25 câu hỏi2 lượt thi
QuizToán - Lớp 12
160 bài trắc nghiệm Mặt nón, mặt trụ, mặt cầu cực hay có lời giải (P2)
40 câu hỏi4 lượt thi
QuizToán - Lớp 12
199 Bài trắc nghiệm Hàm số từ đề thi thử cực hay có lời giải (P5)
25 câu hỏi2 lượt thi
QuizToán - Lớp 12
199 Bài trắc nghiệm Hàm số từ đề thi thử cực hay có lời giải (P4)
25 câu hỏi2 lượt thi
QuizToán - Lớp 12
253 Bài tập Số phức từ đề thi Đại học cực hay có lời giải(p2)
25 câu hỏi4 lượt thi
QuizToán - Lớp 12
256 Bài trắc nghiệm Oxyz cực hay có lời giải (P6)
25 câu hỏi2 lượt thi























