Toán Lớp 12
Đề thiToán - Lớp 12
108 Bài trắc nghiệm Tọa độ trong không gian Oxyz cực hay có lời giải (P1)
30 câu hỏi1 lượt thi
Đề thiToán - Lớp 12
300 Bài trắc nghiệm hàm số cơ bản, nâng cao cực hay có lời giải (P3)
28 câu hỏi1 lượt thi
Đề thiToán - Lớp 12
245 Bài trắc nghiệm Hàm số cực hay có lời giải chi tiết (P2)
40 câu hỏi1 lượt thi
Đề thiToán - Lớp 12
106 Bài trắc nghiệm Số phức từ đề thi Đại Học cực hay cớ lời giải chi tiết (P3)
30 câu hỏi4 lượt thi
Đề thiToán - Lớp 12
40 câu Bài tập Hình học Khối đa diện cực hay có lời giải chi tiết (P2)
20 câu hỏi2 lượt thi
Đề thiToán - Lớp 12
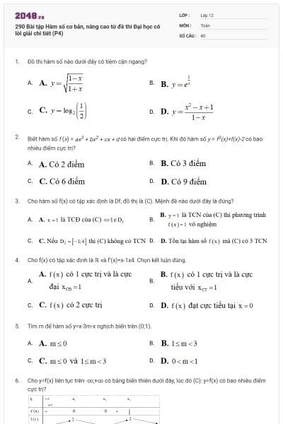
290 Bài tập Hàm số cơ bản, nâng cao từ đề thi Đại học có lời giải chi tiết (P8)
22 câu hỏi1 lượt thi
Đề thiToán - Lớp 12
195 Bài trắc nghiệm Hàm số từ đề thi thử THPTQG cực hay có lời giải (P2)
40 câu hỏi1 lượt thi
Đề thiToán - Lớp 12
148 câu Bài tập Hình học mặt nón, mặt trụ, mặt cầu từ đề thi Đại học có lời giải (P4)
28 câu hỏi2 lượt thi
Đề thiToán - Lớp 12
290 Bài tập Hàm số cơ bản, nâng cao từ đề thi Đại học có lời giải chi tiết (P7)
40 câu hỏi1 lượt thi
Đề thiToán - Lớp 12
106 Bài trắc nghiệm Số phức từ đề thi Đại Học cực hay cớ lời giải chi tiết (P2)
30 câu hỏi2 lượt thi
Đề thiToán - Lớp 12
300 Bài trắc nghiệm hàm số cơ bản, nâng cao cực hay có lời giải (P2)
30 câu hỏi1 lượt thi
Đề thiToán - Lớp 12
290 Bài tập Hàm số cơ bản, nâng cao từ đề thi Đại học có lời giải chi tiết (P6)
40 câu hỏi1 lượt thi
Đề thiToán - Lớp 12
Bài tâp Hình học không gian Oxyz từ đề thi Đại học có lời giải chi tiết (P2)
30 câu hỏi1 lượt thi
Đề thiToán - Lớp 12
148 câu Bài tập Hình học mặt nón, mặt trụ, mặt cầu từ đề thi Đại học có lời giải (P3)
40 câu hỏi2 lượt thi
Đề thiToán - Lớp 12
150 Bài trắc nghiệm Hàm số cực hay nó lời giải chi tiết (P3)
17 câu hỏi1 lượt thi
Đề thiToán - Lớp 12
290 Bài tập Hàm số cơ bản, nâng cao từ đề thi Đại học có lời giải chi tiết (P5)
40 câu hỏi5 lượt thi
Đề thiToán - Lớp 12
333 Bài trắc nghiệm Hình học Khối đa diện cực hay có lời giải chi tiết (P4)
30 câu hỏi1 lượt thi
Đề thiToán - Lớp 12
290 Bài tập Hàm số cơ bản, nâng cao từ đề thi Đại học có lời giải chi tiết (P4)
40 câu hỏi1 lượt thi
Đề thiToán - Lớp 12
120 câu trắc nghiệm Hàm số từ đề thi đại học có đáp án (P4)
20 câu hỏi1 lượt thi
Đề thiToán - Lớp 12
106 Bài trắc nghiệm Số phức từ đề thi Đại Học cực hay cớ lời giải chi tiết (P1)
30 câu hỏi2 lượt thi
Đề thiToán - Lớp 12
176 Bài trắc nghiệm Hàm số từ đề thi Đại học cực hay có lời giải chi tiết (P1)
30 câu hỏi1 lượt thi
Đề thiToán - Lớp 12
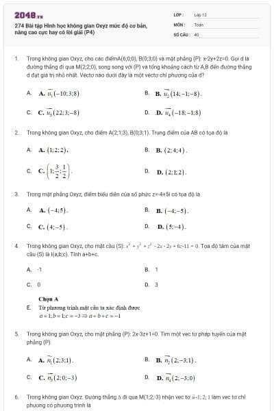
274 Bài tập Hình học không gian Oxyz mức độ cơ bản, nâng cao cực hay có lời giải (P6)
22 câu hỏi1 lượt thi























