Toán Lớp 12
Đề thiToán - Lớp 12
193 Bài trắc nghiệm Hàm số từ đề thi thử THPTQG cực hay có lời giải chi tiết (P2)
40 câu hỏi1 lượt thi
Đề thiToán - Lớp 12
233 Bài trắc nghiệm số phức cơ bản, nâng cao cực hay có lời giải (P2)
25 câu hỏi2 lượt thi
Đề thiToán - Lớp 12
245 Bài tập trắc nghiệm Hàm số cực hay có lời giải chi tiết (P6)
44 câu hỏi1 lượt thi
Đề thiToán - Lớp 12
261 Bài tập trắc nghiệm Hình học Mặt nón, mặt trụ, mặt cầu cực hay có lời giải chi tiết (P5)
30 câu hỏi2 lượt thi
Đề thiToán - Lớp 12
261 Bài tập trắc nghiệm Hình học Mặt nón, mặt trụ, mặt cầu cực hay có lời giải chi tiết (P4)
30 câu hỏi2 lượt thi
Đề thiToán - Lớp 12
135 câu Bài tập Hình học mặt nón, mặt trụ, mặt cầu cực hay có lời giải (P1)
35 câu hỏi2 lượt thi
Đề thiToán - Lớp 12
261 Bài tập trắc nghiệm Hình học Mặt nón, mặt trụ, mặt cầu cực hay có lời giải chi tiết (P3)
30 câu hỏi2 lượt thi
Đề thiToán - Lớp 12
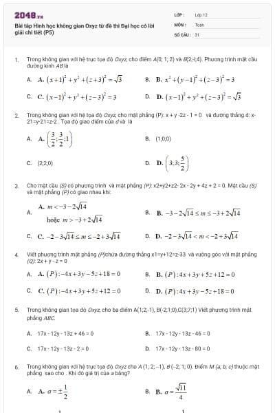
Bài tâp Hình học không gian Oxyz từ đề thi Đại học có lời giải chi tiết (P5)
31 câu hỏi1 lượt thi
Đề thiToán - Lớp 12
108 Bài trắc nghiệm Tọa độ trong không gian Oxyz cực hay có lời giải (P4)
30 câu hỏi1 lượt thi
Đề thiToán - Lớp 12
195 Bài trắc nghiệm Hàm số từ đề thi thử THPTQG cực hay có lời giải (P4)
40 câu hỏi1 lượt thi
Đề thiToán - Lớp 12
195 Bài trắc nghiệm Hàm số từ đề thi thử THPTQG cực hay có lời giải (P3)
40 câu hỏi1 lượt thi
Đề thiToán - Lớp 12
261 Bài tập trắc nghiệm Hình học Mặt nón, mặt trụ, mặt cầu cực hay có lời giải chi tiết (P2)
30 câu hỏi4 lượt thi
Đề thiToán - Lớp 12
230 Bài tập trắc nghiệm Oxyz cực hay có lời giải chi tiết (P1)
25 câu hỏi3 lượt thi
Đề thiToán - Lớp 12
245 Bài tập trắc nghiệm Hàm số cực hay có lời giải chi tiết (P5)
40 câu hỏi1 lượt thi
Đề thiToán - Lớp 12
261 Bài tập trắc nghiệm Hình học Mặt nón, mặt trụ, mặt cầu cực hay có lời giải chi tiết (P1)
30 câu hỏi2 lượt thi
Đề thiToán - Lớp 12
233 Bài trắc nghiệm số phức cơ bản, nâng cao cực hay có lời giải (P1)
25 câu hỏi2 lượt thi
Đề thiToán - Lớp 12
245 Bài trắc nghiệm Hàm số cực hay có lời giải chi tiết (P4)
40 câu hỏi1 lượt thi
Đề thiToán - Lớp 12
108 Bài trắc nghiệm Tọa độ trong không gian Oxyz cực hay có lời giải (P3)
31 câu hỏi7 lượt thi
Đề thiToán - Lớp 12
190 Bài trắc nghiệm Mặt nón, mặt trụ, mặt cầu cực hay có lời giải chi tiết (P1)
30 câu hỏi2 lượt thi
Đề thiToán - Lớp 12
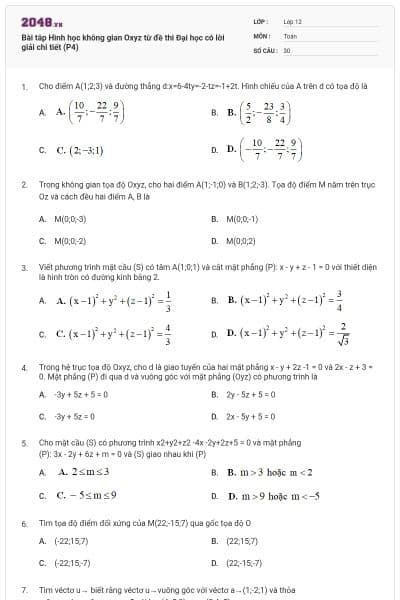
Bài tâp Hình học không gian Oxyz từ đề thi Đại học có lời giải chi tiết (P4)
30 câu hỏi3 lượt thi
Đề thiToán - Lớp 12
108 Bài trắc nghiệm Tọa độ trong không gian Oxyz cực hay có lời giải (P2)
30 câu hỏi1 lượt thi
Đề thiToán - Lớp 12
80 câu Bài tập Hình học Khối đa diện có lời giải chi tiết (P2)
21 câu hỏi2 lượt thi
Đề thiToán - Lớp 12
245 Bài trắc nghiệm Hàm số cực hay có lời giải chi tiết (P3)
40 câu hỏi1 lượt thi























