Toán Lớp 12
QuizToán - Lớp 12
233 Bài trắc nghiệm Hình học Mặt nón, mặt trụ, mặt cầu có lời giải chi tiết (P2)
40 câu hỏi4 lượt thi
QuizToán - Lớp 12
134 Bài trắc nghiệm Hàm số cực hay có lời giải cực hay (P1)
30 câu hỏi2 lượt thi
QuizToán - Lớp 12
150 Bài trắc nghiệm Hàm số cực hay nó lời giải chi tiết (P1)
30 câu hỏi3 lượt thi
QuizToán - Lớp 12
100 Bài trắc nghiệm Hàm số mũ và Logarit có lời giải chi tiết (P3)
25 câu hỏi4 lượt thi
QuizToán - Lớp 12
240 câu Bài tập Hàm số mũ, logarit ôn thi THPT Quốc gia có lời giải (P5)
30 câu hỏi4 lượt thi
QuizToán - Lớp 12
66 câu Bài tâp Hàm số mũ và Logarit từ đề thi Đại Học cực hay có lời giải (P2)
33 câu hỏi4 lượt thi
QuizToán - Lớp 12
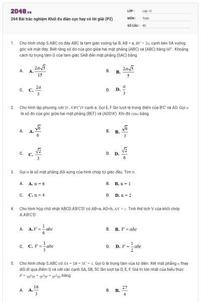
264 Bài trắc nghiệm Khối đa diện cực hay có lời giải (P5)
40 câu hỏi3 lượt thi
QuizToán - Lớp 12
264 Bài trắc nghiệm Khối đa diện cực hay có lời giải (P4)
40 câu hỏi3 lượt thi
QuizToán - Lớp 12
233 Bài trắc nghiệm Hình học Mặt nón, mặt trụ, mặt cầu có lời giải chi tiết (P1)
40 câu hỏi4 lượt thi
QuizToán - Lớp 12
100 Bài trắc nghiệm Hàm số mũ và Logarit có lời giải chi tiết (P2)
25 câu hỏi4 lượt thi
QuizToán - Lớp 12
148 câu Bài tập Hình học mặt nón, mặt trụ, mặt cầu từ đề thi Đại học có lời giải (P1)
40 câu hỏi6 lượt thi
QuizToán - Lớp 12
199 Bài trắc nghiệm Hàm số từ đề thi thử cực hay có lời giải (P1)
25 câu hỏi3 lượt thi
QuizToán - Lớp 12
264 Bài trắc nghiệm Khối đa diện cực hay có lời giải (P3)
40 câu hỏi3 lượt thi
QuizToán - Lớp 12
140 câu Bài tập Hàm số mũ và Logarit cơ bản, nâng cao cực hay có lời giải chi tiết (P4)
35 câu hỏi4 lượt thi
QuizToán - Lớp 12
300 Bài trắc nghiệm Hàm số mũ và Logarit cơ bản, nâng cao có lời giải chi tiết (P8)
23 câu hỏi4 lượt thi
QuizToán - Lớp 12
264 Bài trắc nghiệm Khối đa diện cực hay có lời giải (P2)
40 câu hỏi6 lượt thi
QuizToán - Lớp 12
238 câu Bài tâp Nguyên Hàm, Tích phân cơ bản, nâng cao cực hay có lời giải (P3)
26 câu hỏi4 lượt thi
QuizToán - Lớp 12
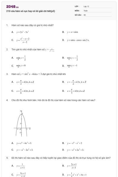
210 câu hàm số cực hay có lời giải chi tiết(p3)
30 câu hỏi3 lượt thi
QuizToán - Lớp 12
200 bài tập Số phức cực hay có lời giải chi tiết (P1)
25 câu hỏi10 lượt thi
QuizToán - Lớp 12
333 Bài trắc nghiệm Hình học Khối đa diện cực hay có lời giải chi tiết (P1)
30 câu hỏi3 lượt thi
QuizToán - Lớp 12
139 câu Bài tập Hình học mặt nón, mặt trụ, mặt cầu có đáp án (P5)
24 câu hỏi5 lượt thi
QuizToán - Lớp 12
300 Bài trắc nghiệm Hàm số mũ và Logarit cơ bản, nâng cao có lời giải chi tiết (P7)
40 câu hỏi4 lượt thi
QuizToán - Lớp 12
100 Bài trắc nghiệm Hàm số mũ và Logarit có lời giải chi tiết (P1)
25 câu hỏi4 lượt thi
QuizToán - Lớp 12
245 Bài trắc nghiệm Hàm số cực hay có lời giải chi tiết (P1)
40 câu hỏi3 lượt thi























