QuizToán - Lớp 12
195 Bài trắc nghiệm Hàm số từ đề thi thử THPTQG cực hay có lời giải (P5)
32 câu hỏi2 lượt thi
QuizToán - Lớp 12
208 Bài trắc nghiệm Hàm số cơ bản, nâng cao cực hay có lời giải (P2)
30 câu hỏi2 lượt thi
QuizToán - Lớp 12
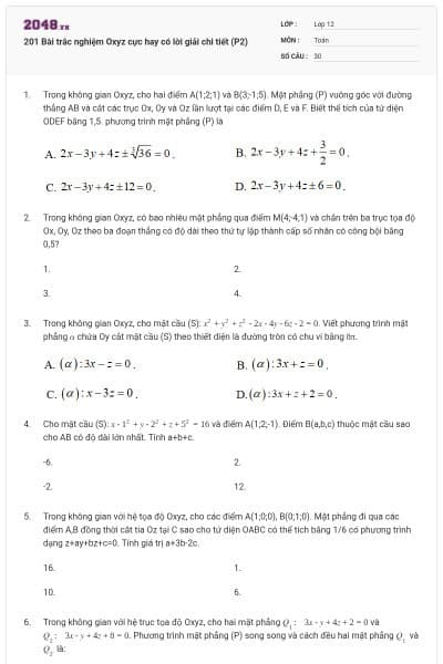
201 Bài trắc nghiệm Oxyz cực hay có lời giải chi tiết (P3)
25 câu hỏi2 lượt thi
QuizToán - Lớp 12
230 Bài tập trắc nghiệm Oxyz cực hay có lời giải chi tiết (P5)
25 câu hỏi2 lượt thi
QuizToán - Lớp 12
190 Bài trắc nghiệm Mặt nón, mặt trụ, mặt cầu cực hay có lời giải chi tiết (P2)
30 câu hỏi4 lượt thi
QuizToán - Lớp 12
80 câu Bài tập Hình học Khối đa diện có lời giải chi tiết (P4)
19 câu hỏi4 lượt thi
QuizToán - Lớp 12
Bài tập tọa độ không gian Oxyz cực hay có lời giải chi tiết (P1)
13 câu hỏi2 lượt thi
QuizToán - Lớp 12
201 Bài trắc nghiệm Oxyz cực hay có lời giải chi tiết (P2)
30 câu hỏi2 lượt thi
QuizToán - Lớp 12
201 Bài trắc nghiệm Oxyz trong đề thi thử THPTQG 2019 cực hay có lời giải chi tiết (P1)
40 câu hỏi2 lượt thi
QuizToán - Lớp 12
233 Bài trắc nghiệm số phức cơ bản, nâng cao cực hay có lời giải (P9)
25 câu hỏi4 lượt thi
QuizToán - Lớp 12
230 Bài tập trắc nghiệm Oxyz cực hay có lời giải chi tiết (P4)
25 câu hỏi2 lượt thi
QuizToán - Lớp 12
135 câu Bài tập Hình học mặt nón, mặt trụ, mặt cầu cực hay có lời giải (P2)
35 câu hỏi4 lượt thi
QuizToán - Lớp 12
238 câu Bài tâp Nguyên Hàm, Tích phân cơ bản, nâng cao cực hay có lời giải(P5)
25 câu hỏi4 lượt thi
QuizToán - Lớp 12
107 Bài trắc nghiệm Hàm số cực hay có lời giải chi tiết (P2)
11 câu hỏi2 lượt thi
QuizToán - Lớp 12
193 Bài trắc nghiệm Hàm số từ đề thi thử THPTQG cực hay có lời giải chi tiết (P5)
28 câu hỏi2 lượt thi
QuizToán - Lớp 12
333 Bài trắc nghiệm Hình học Khối đa diện cực hay có lời giải chi tiết (P5)
35 câu hỏi2 lượt thi
QuizToán - Lớp 12
201 Bài trắc nghiệm Oxyz cực hay có lời giải chi tiết (P1)
25 câu hỏi2 lượt thi
QuizToán - Lớp 12
233 Bài trắc nghiệm số phức cơ bản, nâng cao cực hay có lời giải (P8)
25 câu hỏi4 lượt thi
QuizToán - Lớp 12
193 Bài trắc nghiệm Hàm số từ đề thi thử THPTQG cực hay có lời giải chi tiết (P4)
40 câu hỏi2 lượt thi
QuizToán - Lớp 12
233 Bài trắc nghiệm số phức cơ bản, nâng cao cực hay có lời giải (P7)
25 câu hỏi4 lượt thi
QuizToán - Lớp 12
108 Bài trắc nghiệm Tọa độ trong không gian Oxyz cực hay có lời giải (P5)
30 câu hỏi2 lượt thi
QuizToán - Lớp 12
120 câu trắc nghiệm Hàm số từ đề thi đại học có đáp án (P5)
20 câu hỏi2 lượt thi
QuizToán - Lớp 12
230 Bài tập trắc nghiệm Oxyz cực hay có lời giải chi tiết (P3)
25 câu hỏi2 lượt thi























