QuizToán - Lớp 12
160 bài trắc nghiệm Mặt nón, mặt trụ, mặt cầu cực hay có lời giải (P1)
40 câu hỏi4 lượt thi
QuizToán - Lớp 12
233 Bài trắc nghiệm số phức cơ bản, nâng cao cực hay có lời giải (P5)
25 câu hỏi4 lượt thi
QuizToán - Lớp 12
261 Bài tập trắc nghiệm Hình học Mặt nón, mặt trụ, mặt cầu cực hay có lời giải chi tiết (P9)
12 câu hỏi4 lượt thi
QuizToán - Lớp 12
261 Bài tập trắc nghiệm Hình học Mặt nón, mặt trụ, mặt cầu cực hay có lời giải chi tiết (P8)
30 câu hỏi4 lượt thi
QuizToán - Lớp 12
233 Bài trắc nghiệm số phức cơ bản, nâng cao cực hay có lời giải (P4)
25 câu hỏi4 lượt thi
QuizToán - Lớp 12
261 Bài tập trắc nghiệm Hình học Mặt nón, mặt trụ, mặt cầu cực hay có lời giải chi tiết (P7)
30 câu hỏi4 lượt thi
QuizToán - Lớp 12
233 Bài trắc nghiệm số phức cơ bản, nâng cao cực hay có lời giải (P3)
25 câu hỏi4 lượt thi
QuizToán - Lớp 12
261 Bài tập trắc nghiệm Hình học Mặt nón, mặt trụ, mặt cầu cực hay có lời giải chi tiết (P6)
30 câu hỏi4 lượt thi
QuizToán - Lớp 12
134 Bài trắc nghiệm Hàm số cực hay có lời giải cực hay (P3)
30 câu hỏi2 lượt thi
QuizToán - Lớp 12
134 Bài trắc nghiệm Hàm số cực hay có lời giải cực hay (P2)
30 câu hỏi2 lượt thi
QuizToán - Lớp 12
230 Bài tập trắc nghiệm Oxyz cực hay có lời giải chi tiết (P2)
25 câu hỏi2 lượt thi
QuizToán - Lớp 12
80 câu Bài tập Hình học Khối đa diện có lời giải chi tiết (P3)
20 câu hỏi4 lượt thi
QuizToán - Lớp 12
193 Bài trắc nghiệm Hàm số từ đề thi thử THPTQG cực hay có lời giải chi tiết (P3)
40 câu hỏi2 lượt thi
QuizToán - Lớp 12
193 Bài trắc nghiệm Hàm số từ đề thi thử THPTQG cực hay có lời giải chi tiết (P2)
40 câu hỏi2 lượt thi
QuizToán - Lớp 12
233 Bài trắc nghiệm số phức cơ bản, nâng cao cực hay có lời giải (P2)
25 câu hỏi4 lượt thi
QuizToán - Lớp 12
245 Bài tập trắc nghiệm Hàm số cực hay có lời giải chi tiết (P6)
44 câu hỏi2 lượt thi
QuizToán - Lớp 12
261 Bài tập trắc nghiệm Hình học Mặt nón, mặt trụ, mặt cầu cực hay có lời giải chi tiết (P5)
29 câu hỏi4 lượt thi
QuizToán - Lớp 12
261 Bài tập trắc nghiệm Hình học Mặt nón, mặt trụ, mặt cầu cực hay có lời giải chi tiết (P4)
30 câu hỏi4 lượt thi
QuizToán - Lớp 12
135 câu Bài tập Hình học mặt nón, mặt trụ, mặt cầu cực hay có lời giải (P1)
35 câu hỏi4 lượt thi
QuizToán - Lớp 12
261 Bài tập trắc nghiệm Hình học Mặt nón, mặt trụ, mặt cầu cực hay có lời giải chi tiết (P3)
30 câu hỏi4 lượt thi
QuizToán - Lớp 12
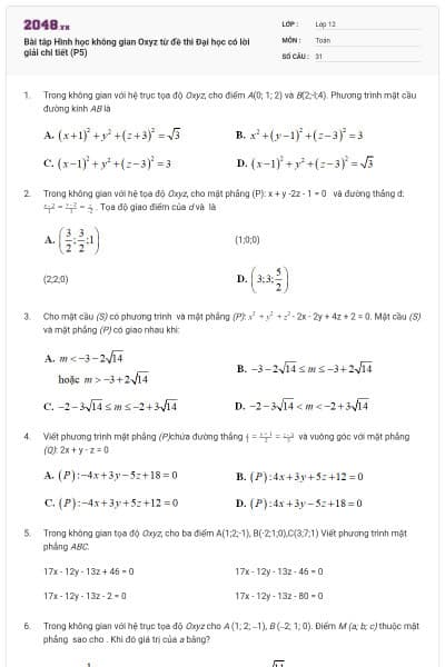
Bài tâp Hình học không gian Oxyz từ đề thi Đại học có lời giải chi tiết (P5)
31 câu hỏi2 lượt thi
QuizToán - Lớp 12
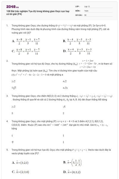
108 Bài trắc nghiệm Tọa độ trong không gian Oxyz cực hay có lời giải (P4)
30 câu hỏi2 lượt thi























