Toán Lớp 11
- Chủ đề:
- Hàm số lượng giác và phương trình lượng giác
- Tổ hợp - xác suất
- Dãy số - Cấp số cộng và cấp số nhân
- Giới hạn
- Đạo hàm
- Phép dời hình và phép đồng dạng trong mặt phẳng
- Đường thẳng và mặt phẳng trong không gian. Quan hệ song song
- Vectơ trong không gian. Quan hệ vuông góc trong không gian
- Trắc nghiệm tổng hợp Toán 11
- Đề thi Toán 11
- Bài tập Toán lớp 11 (Tự luận)
- Chuyên đề Toán 11
Đề thiToán - Lớp 11
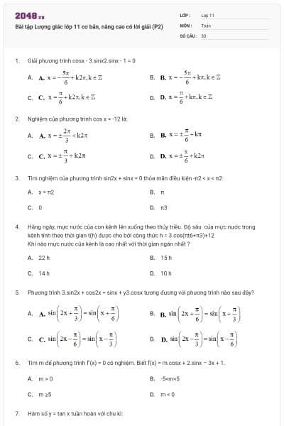
Bài tập Lượng Giác cơ bản , nâng cao có lời giải (P2)
35 câu hỏi1 lượt thi
Đề thiToán - Lớp 11
Bài tập Hình học không gian lớp 11 cơ bản, nâng cao có lời giải (P10)
30 câu hỏi1 lượt thi
Đề thiToán - Lớp 11
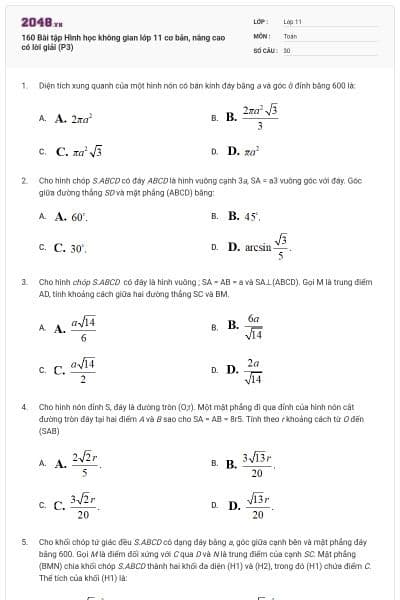
160 Bài tập Hình học không gian lớp 11 cơ bản, nâng cao có lời giải (P3)
30 câu hỏi1 lượt thi
Đề thiToán - Lớp 11
160 Bài tập Hình học không gian lớp 11 cơ bản, nâng cao có lời giải (P2)
30 câu hỏi1 lượt thi
Đề thiToán - Lớp 11
Tổng ôn VG4. Kỹ thuật tính góc (part 2)
6 câu hỏi2 lượt thi
Đề thiToán - Lớp 11
Bài tập Hình học không gian lớp 11 cơ bản, nâng cao có lời giải (P9)
30 câu hỏi1 lượt thi
Đề thiToán - Lớp 11
Bài tập Lượng giác lớp 11 cơ bản, nâng cao có lời giải (P2)
30 câu hỏi1 lượt thi
Đề thiToán - Lớp 11
Bài tập Hình học không gian lớp 11 cơ bản, nâng cao có lời giải (P8)
30 câu hỏi1 lượt thi
Đề thiToán - Lớp 11
Bài tập Hình học không gian lớp 11 cơ bản, nâng cao có lời giải (P7)
30 câu hỏi1 lượt thi
Đề thiToán - Lớp 11
Bài tập Hình học không gian lớp 11 cơ bản, nâng cao có lời giải (P6)
30 câu hỏi1 lượt thi
Đề thiToán - Lớp 11
Bài tập Hình học không gian lớp 11 cơ bản, nâng cao có lời giải (P5)
30 câu hỏi1 lượt thi
Đề thiToán - Lớp 11
Ứng dụng hàm số (P2)
1 câu hỏi1 lượt thi
Đề thiToán - Lớp 11
Bài tập Hình học không gian cơ bản, nâng cao có lời giải (P5)
30 câu hỏi1 lượt thi
Đề thiToán - Lớp 11
cung và góc lượng giác (p1)
4 câu hỏi2 lượt thi
Đề thiToán - Lớp 11
Bài tập Hình học không gian ôn thi THPT Quốc gia có lời giải (P8)
20 câu hỏi1 lượt thi
Đề thiToán - Lớp 11
260 Bài tập Hình không gian lớp 11 ôn thi Đại học có lời giải (P4)
40 câu hỏi1 lượt thi
Đề thiToán - Lớp 11
Bài tập Hình học không gian lớp 11 cơ bản, nâng cao có lời giải (P4)
39 câu hỏi1 lượt thi
Đề thiToán - Lớp 11
Bài tập Hình học không gian lớp 11 cơ bản, nâng cao có lời giải (P3)
23 câu hỏi1 lượt thi
Đề thiToán - Lớp 11
Bài tập Hình học không gian lớp 11 cơ bản, nâng cao có lời giải (P2)
26 câu hỏi1 lượt thi
Đề thiToán - Lớp 11
Bài tập Hình học không gian ôn thi THPT Quốc gia có lời giải (P7)
20 câu hỏi1 lượt thi
Đề thiToán - Lớp 11
Bài tập Hình học không gian lớp 11 cơ bản, nâng cao có lời giải (P1)
30 câu hỏi1 lượt thi
Đề thiToán - Lớp 11
Ứng dụng hàm số (P1)
2 câu hỏi1 lượt thi
Đề thiToán - Lớp 11
260 Bài tập Hình không gian lớp 11 ôn thi Đại học có lời giải (P3)
40 câu hỏi1 lượt thi
Đề thiToán - Lớp 11
Bài tập Hình học không gian cơ bản, nâng cao có lời giải (P4)
30 câu hỏi1 lượt thi























