Lớp
Lớp 1Lớp 2Lớp 3Lớp 4Lớp 5Lớp 6Lớp 7Lớp 8Lớp 9Lớp 10Lớp 11Lớp 12Tốt nghiệp THPTÔn vào 6Ôn vào 10Môn
- ToánToán Lớp 11
- Hàm số lượng giác và phương trình lượng giác
- Tổ hợp - xác suất
- Dãy số - Cấp số cộng và cấp số nhân
- Giới hạn
- Đạo hàm
- Phép dời hình và phép đồng dạng trong mặt phẳng
- Đường thẳng và mặt phẳng trong không gian. Quan hệ song song
- Vectơ trong không gian. Quan hệ vuông góc trong không gian
- Trắc nghiệm tổng hợp Toán 11
- Đề thi Toán 11
- Bài tập Toán lớp 11 (Tự luận)
- Chuyên đề Toán 11
Toán Lớp 11
- Chủ đề:
- Hàm số lượng giác và phương trình lượng giác
- Tổ hợp - xác suất
- Dãy số - Cấp số cộng và cấp số nhân
- Giới hạn
- Đạo hàm
- Phép dời hình và phép đồng dạng trong mặt phẳng
- Đường thẳng và mặt phẳng trong không gian. Quan hệ song song
- Vectơ trong không gian. Quan hệ vuông góc trong không gian
- Trắc nghiệm tổng hợp Toán 11
- Đề thi Toán 11
- Bài tập Toán lớp 11 (Tự luận)
- Chuyên đề Toán 11
QuizToán - Lớp 11
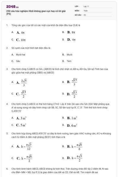
Bài tập Hình học không gian ôn thi THPT Quốc gia có lời giải (P5)
20 câu hỏi13 lượt thi
QuizToán - Lớp 11
Bài tập Hình học không gian ôn thi THPT Quốc gia có lời giải (P4)
20 câu hỏi3 lượt thi
QuizToán - Lớp 11
Bài tập Hình học không gian cơ bản, nâng cao có lời giải (P3)
30 câu hỏi3 lượt thi
QuizToán - Lớp 11
Bài tập Hình học không gian ôn thi THPT Quốc gia có lời giải (P3)
20 câu hỏi3 lượt thi
QuizToán - Lớp 11
Bài tập Hình học không gian ôn thi THPT Quốc gia có lời giải (P2)
20 câu hỏi3 lượt thi
QuizToán - Lớp 11
Bài tập Hình học không gian cơ bản, nâng cao có lời giải (P2)
30 câu hỏi6 lượt thi
QuizToán - Lớp 11
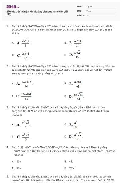
160 Bài tập Hình học không gian lớp 11 cơ bản, nâng cao có lời giải (P1)
30 câu hỏi7 lượt thi
QuizToán - Lớp 11
Bài tập Hình học không gian ôn thi THPT Quốc gia có lời giải (P1)
20 câu hỏi6 lượt thi
QuizToán - Lớp 11
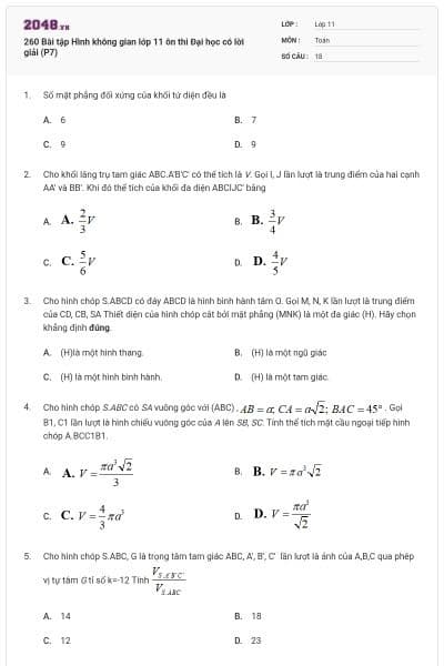
260 Bài tập Hình không gian lớp 11 ôn thi Đại học có lời giải (P1)
40 câu hỏi3 lượt thi
QuizToán - Lớp 11
Bài tập Hình học không gian cơ bản, nâng cao có lời giải (P1)
30 câu hỏi3 lượt thi
QuizToán - Lớp 11
Bài tập Lượng giác lớp 11 cơ bản, nâng cao có lời giải (P1)
30 câu hỏi2 lượt thi
QuizToán - Lớp 11
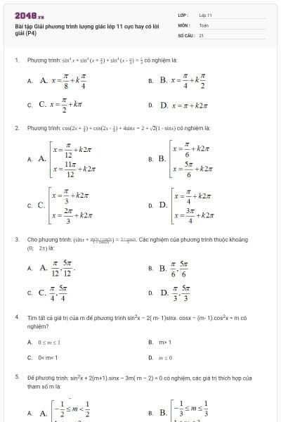
Bài tập Giải phương trình lượng giác lớp 11 cực hay có lời giải (P4)
21 câu hỏi3 lượt thi
QuizToán - Lớp 11
Bài tập Giải phương trình lượng giác lớp 11 cực hay có lời giải (P3)
20 câu hỏi8 lượt thi
QuizToán - Lớp 11
Bài tập Giải phương trình lượng giác lớp 11 cực hay có lời giải (P2)
20 câu hỏi7 lượt thi
QuizToán - Lớp 11
Bài tập Giải phương trình lượng giác lớp 11 cực hay có lời giải (P1)
20 câu hỏi7 lượt thi
QuizToán - Lớp 11
93 Bài tập trắc nghiệm Lượng giác lớp 11 có lời giải (P4)
20 câu hỏi10 lượt thi
QuizToán - Lớp 11
93 Bài tập trắc nghiệm Lượng giác lớp 11 có lời giải (P3)
22 câu hỏi8 lượt thi
QuizToán - Lớp 11
93 Bài tập trắc nghiệm Lượng giác lớp 11 có lời giải (P2)
25 câu hỏi13 lượt thi
QuizToán - Lớp 11
93 Bài tập trắc nghiệm Lượng giác lớp 11 có lời giải (P1)
25 câu hỏi7 lượt thi
QuizToán - Lớp 11
100 câu trắc nghiệm Đường thẳng - Mặt phẳng trong không gian (P4)
25 câu hỏi18 lượt thi
QuizToán - Lớp 11
100 câu trắc nghiệm Đường thẳng - Mặt phẳng trong không gian (P3)
25 câu hỏi17 lượt thi
QuizToán - Lớp 11
100 câu trắc nghiệm Đường thẳng - Mặt phẳng trong không gian (P2)
25 câu hỏi18 lượt thi
QuizToán - Lớp 11
100 câu trắc nghiệm Đường thẳng - Mặt phẳng trong không gian (P1)
25 câu hỏi19 lượt thi
QuizToán - Lớp 11
70 câu trắc nghiệm Dãy số, Cấp số cộng, Cấp số nhân cơ bản (P3)
28 câu hỏi17 lượt thi























