Lớp
Lớp 1Lớp 2Lớp 3Lớp 4Lớp 5Lớp 6Lớp 7Lớp 8Lớp 9Lớp 10Lớp 11Lớp 12Tốt nghiệp THPTÔn vào 6Ôn vào 10Môn
- ToánToán Lớp 11
- Hàm số lượng giác và phương trình lượng giác
- Tổ hợp - xác suất
- Dãy số - Cấp số cộng và cấp số nhân
- Giới hạn
- Đạo hàm
- Phép dời hình và phép đồng dạng trong mặt phẳng
- Đường thẳng và mặt phẳng trong không gian. Quan hệ song song
- Vectơ trong không gian. Quan hệ vuông góc trong không gian
- Trắc nghiệm tổng hợp Toán 11
- Đề thi Toán 11
- Bài tập Toán lớp 11 (Tự luận)
- Chuyên đề Toán 11
Toán Lớp 11
- Chủ đề:
- Hàm số lượng giác và phương trình lượng giác
- Tổ hợp - xác suất
- Dãy số - Cấp số cộng và cấp số nhân
- Giới hạn
- Đạo hàm
- Phép dời hình và phép đồng dạng trong mặt phẳng
- Đường thẳng và mặt phẳng trong không gian. Quan hệ song song
- Vectơ trong không gian. Quan hệ vuông góc trong không gian
- Trắc nghiệm tổng hợp Toán 11
- Đề thi Toán 11
- Bài tập Toán lớp 11 (Tự luận)
- Chuyên đề Toán 11
QuizToán - Lớp 11
Bài tập Nhị thức Newton cơ bản, nâng cao có lời giải (P1)
30 câu hỏi3 lượt thi
QuizToán - Lớp 11
Bài tập Xác suất ôn thi THPT Quốc gia có lời giải (P1)
25 câu hỏi8 lượt thi
QuizToán - Lớp 11
Bài tập Hình học không gian lớp 11 cơ bản, nâng cao có lời giải (P14)
30 câu hỏi3 lượt thi
QuizToán - Lớp 11
Bài tập Tổ hợp - Xác suất ôn thi Đại học có lời giải (P1)
25 câu hỏi3 lượt thi
QuizToán - Lớp 11
Bài tập Lượng Giác cơ bản , nâng cao có lời giải (P7)
35 câu hỏi3 lượt thi
QuizToán - Lớp 11
Bài tập Lượng Giác cơ bản , nâng cao có lời giải (P6)
23 câu hỏi3 lượt thi
QuizToán - Lớp 11
Bài tập Tổ hợp - Xác suất cơ bản, nâng cao có lời giải (P1)
30 câu hỏi3 lượt thi
QuizToán - Lớp 11
Bài tập Hình học không gian lớp 11 cơ bản, nâng cao có lời giải (P13)
31 câu hỏi3 lượt thi
QuizToán - Lớp 11
Bài tập Lượng Giác cơ bản , nâng cao có lời giải (P5)
35 câu hỏi3 lượt thi
QuizToán - Lớp 11
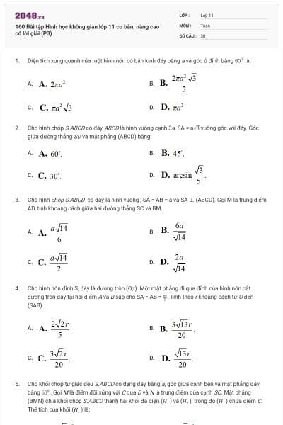
160 Bài tập Hình học không gian lớp 11 cơ bản, nâng cao có lời giải (P5)
46 câu hỏi3 lượt thi
QuizToán - Lớp 11
Bài tập Hình học không gian lớp 11 cơ bản, nâng cao có lời giải (P12)
30 câu hỏi3 lượt thi
QuizToán - Lớp 11
Bài tập Lượng Giác cơ bản , nâng cao có lời giải (P4)
35 câu hỏi3 lượt thi
QuizToán - Lớp 11
160 Bài tập Hình học không gian lớp 11 cơ bản, nâng cao có lời giải (P4)
30 câu hỏi3 lượt thi
QuizToán - Lớp 11
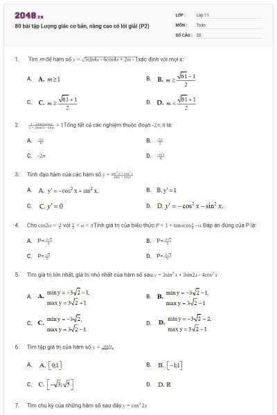
80 bài tập Lượng giác cơ bản, nâng cao có lời giải (P2)
20 câu hỏi3 lượt thi
QuizToán - Lớp 11
80 bài tập Lượng giác cơ bản, nâng cao có lời giải (P1)
20 câu hỏi3 lượt thi
QuizToán - Lớp 11
Bài tập Hình học không gian lớp 11 cơ bản, nâng cao có lời giải (P11)
30 câu hỏi7 lượt thi
QuizToán - Lớp 11
Bài tập Lượng Giác cơ bản , nâng cao có lời giải (P3)
35 câu hỏi3 lượt thi
QuizToán - Lớp 11
Bài tập Lượng Giác cơ bản , nâng cao có lời giải (P2)
35 câu hỏi3 lượt thi
QuizToán - Lớp 11
Bài tập Hình học không gian lớp 11 cơ bản, nâng cao có lời giải (P10)
30 câu hỏi4 lượt thi
QuizToán - Lớp 11
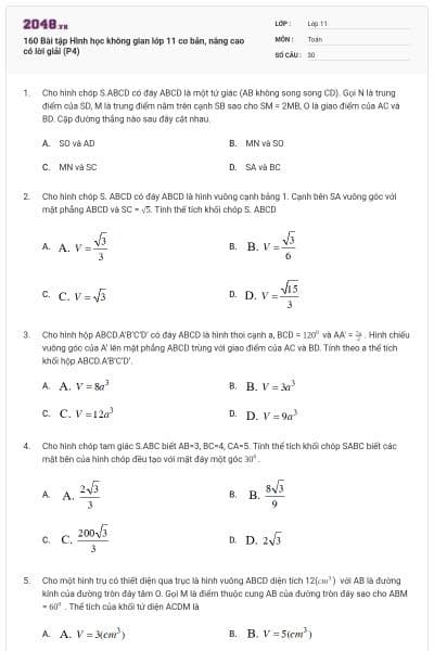
160 Bài tập Hình học không gian lớp 11 cơ bản, nâng cao có lời giải (P3)
30 câu hỏi3 lượt thi
QuizToán - Lớp 11
160 Bài tập Hình học không gian lớp 11 cơ bản, nâng cao có lời giải (P2)
30 câu hỏi3 lượt thi
QuizToán - Lớp 11
Bài tập Hình học không gian lớp 11 cơ bản, nâng cao có lời giải (P9)
30 câu hỏi3 lượt thi
QuizToán - Lớp 11
Bài tập Lượng giác lớp 11 cơ bản, nâng cao có lời giải (P2)
30 câu hỏi4 lượt thi























