Lớp
Lớp 1Lớp 2Lớp 3Lớp 4Lớp 5Lớp 6Lớp 7Lớp 8Lớp 9Lớp 10Lớp 11Lớp 12Tốt nghiệp THPTÔn vào 6Ôn vào 10Môn
-  ToánToán Lớp 11
- Hàm số lượng giác và phương trình lượng giác
 - Tổ hợp - xác suất
 - Dãy số - Cấp số cộng và cấp số nhân
 - Giới hạn
 - Đạo hàm
 - Phép dời hình và phép đồng dạng trong mặt phẳng
 - Đường thẳng và mặt phẳng trong không gian. Quan hệ song song
 - Vectơ trong không gian. Quan hệ vuông góc trong không gian
 - Trắc nghiệm tổng hợp Toán 11
 - Đề thi Toán 11
 - Bài tập Toán lớp 11 (Tự luận)
 - Chuyên đề Toán 11
 
 
Trắc nghiệm tổng hợp Toán 11
QuizToán - Lớp 11
299 câu trắc nghiệm Tổ hợp xác suất từ đề thi đại học có lời giải chi tiết(P4)
40 câu hỏi2 lượt thi
QuizToán - Lớp 11
75 Bài tập Tổ Hợp - Xác Suất cơ bản nâng cao có lời giải chi tiết (P3)
25 câu hỏi2 lượt thi
QuizToán - Lớp 11
75 Bài tập Tổ Hợp - Xác Suất cơ bản nâng cao có lời giải chi tiết (P2)
25 câu hỏi2 lượt thi
QuizToán - Lớp 11
61 Bài tập Tổ Hợp - Xác xuất mức độ cơ bản có lời giải chi tiết (P2)
20 câu hỏi2 lượt thi
QuizToán - Lớp 11
61 Bài tập Tổ Hợp - Xác xuất mức độ cơ bản có lời giải chi tiết (P1)
20 câu hỏi2 lượt thi
QuizToán - Lớp 11
70 Bài tập Tổ hợp - Xác Suất cực hay có lời giải chi tiết(P1)
20 câu hỏi2 lượt thi
QuizToán - Lớp 11
75 Bài tập Tổ Hợp - Xác Suất cơ bản nâng cao có lời giải chi tiết (P1)
25 câu hỏi2 lượt thi
QuizToán - Lớp 11
105 Bài tập trắc nghiệm Tổ hợp - Xác suất từ đề thi đại học có lời giải (P1)
25 câu hỏi2 lượt thi
QuizToán - Lớp 11
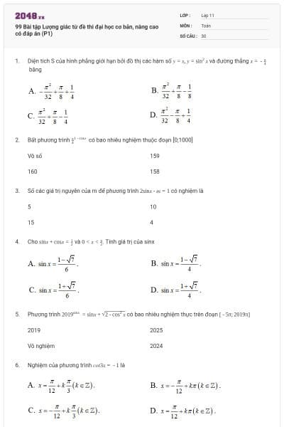
99 Bài tập Lượng giác từ đề thi đại học cơ bản, nâng cao có đáp án (P1)
30 câu hỏi2 lượt thi
QuizToán - Lớp 11
299 câu trắc nghiệm Tổ hợp xác suất từ đề thi đại học có lời giải chi tiết(P3)
40 câu hỏi2 lượt thi
QuizToán - Lớp 11
175 Bài tập Tổ Hợp - Xác Suất từ đề thi đại học cực hay có lời giải (P1)
40 câu hỏi2 lượt thi
QuizToán - Lớp 11
160 bài trắc nghiệm Giới hạn từ đề thi đại học có đáp án (P2)
30 câu hỏi2 lượt thi
QuizToán - Lớp 11
110 Bài tập Lượng giác từ đề thi Đại học cơ bản, nâng cao (P4)
20 câu hỏi2 lượt thi
QuizToán - Lớp 11
58 Bài tập Giới hạn ôn thi đại học có lời giải (P3)
18 câu hỏi2 lượt thi
QuizToán - Lớp 11
299 câu trắc nghiệm Tổ hợp xác suất từ đề thi đại học có lời giải chi tiết(P2)
40 câu hỏi2 lượt thi
QuizToán - Lớp 11
58 Bài tập Giới hạn ôn thi có lời giải (P2)
20 câu hỏi2 lượt thi
QuizToán - Lớp 11
110 câu Bài tập Lượng giác từ đề thi Đại học cơ bản, nâng cao (P3)
30 câu hỏi2 lượt thi
QuizToán - Lớp 11
110 Bài tập Lượng giác từ đề thi Đại học cơ bản, nâng cao (P2)
30 câu hỏi2 lượt thi
QuizToán - Lớp 11
299 câu trắc nghiệm Tổ hợp xác suất từ đề thi đại học có lời giải chi tiết(P1)
40 câu hỏi2 lượt thi
QuizToán - Lớp 11
15 câu lượng giác cơ bản , nâng cao (có đáp án) (p1)
14 câu hỏi2 lượt thi
QuizToán - Lớp 11
110 Bài tập Lượng giác từ đề thi Đại học cơ bản, nâng cao (P1)
30 câu hỏi2 lượt thi
QuizToán - Lớp 11
58 Bài tập Giới hạn ôn thi đại học có lời giải (P1)
20 câu hỏi2 lượt thi
QuizToán - Lớp 11
160 bài trắc nghiệm Giới hạn từ đề thi đại học có đáp án (P1)
30 câu hỏi2 lượt thi
QuizToán - Lớp 11
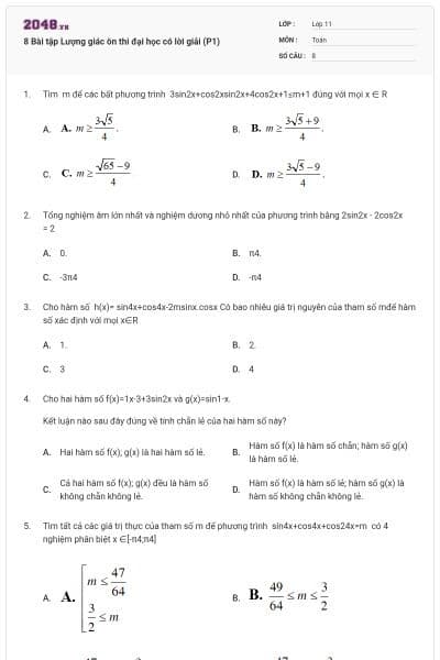
8 Bài tập Lượng giác ôn thi đại học có lời giải (P1)
8 câu hỏi2 lượt thi























