QuizToán - Lớp 11
Bài tập Hình học không gian ôn thi THPT Quốc gia có lời giải (P5)
20 câu hỏi2 lượt thi
QuizToán - Lớp 11
Bài tập Hình học không gian ôn thi THPT Quốc gia có lời giải (P4)
20 câu hỏi2 lượt thi
QuizToán - Lớp 11
Bài tập Hình học không gian cơ bản, nâng cao có lời giải (P3)
30 câu hỏi2 lượt thi
QuizToán - Lớp 11
Bài tập Hình học không gian ôn thi THPT Quốc gia có lời giải (P3)
20 câu hỏi2 lượt thi
QuizToán - Lớp 11
Bài tập Hình học không gian ôn thi THPT Quốc gia có lời giải (P2)
20 câu hỏi2 lượt thi
QuizToán - Lớp 11
Bài tập Hình học không gian cơ bản, nâng cao có lời giải (P2)
30 câu hỏi2 lượt thi
QuizToán - Lớp 11
160 Bài tập Hình học không gian lớp 11 cơ bản, nâng cao có lời giải (P1)
30 câu hỏi2 lượt thi
QuizToán - Lớp 11
Bài tập Hình học không gian ôn thi THPT Quốc gia có lời giải (P1)
20 câu hỏi2 lượt thi
QuizToán - Lớp 11
260 Bài tập Hình không gian lớp 11 ôn thi Đại học có lời giải (P1)
40 câu hỏi2 lượt thi
QuizToán - Lớp 11
Bài tập Hình học không gian cơ bản, nâng cao có lời giải (P1)
30 câu hỏi2 lượt thi
QuizToán - Lớp 11
Bài tập Lượng giác lớp 11 cơ bản, nâng cao có lời giải (P1)
30 câu hỏi2 lượt thi
QuizToán - Lớp 11
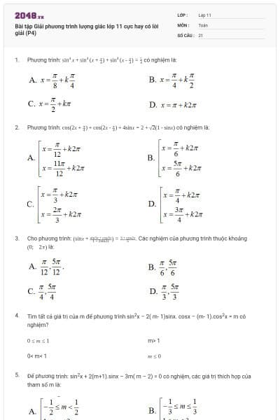
Bài tập Giải phương trình lượng giác lớp 11 cực hay có lời giải (P4)
21 câu hỏi2 lượt thi
QuizToán - Lớp 11
Bài tập Giải phương trình lượng giác lớp 11 cực hay có lời giải (P3)
20 câu hỏi2 lượt thi
QuizToán - Lớp 11
Bài tập Giải phương trình lượng giác lớp 11 cực hay có lời giải (P2)
20 câu hỏi2 lượt thi
QuizToán - Lớp 11
Bài tập Giải phương trình lượng giác lớp 11 cực hay có lời giải (P1)
20 câu hỏi2 lượt thi
QuizToán - Lớp 11
93 Bài tập trắc nghiệm Lượng giác lớp 11 có lời giải (P4)
20 câu hỏi4 lượt thi
QuizToán - Lớp 11
93 Bài tập trắc nghiệm Lượng giác lớp 11 có lời giải (P3)
22 câu hỏi4 lượt thi
QuizToán - Lớp 11
93 Bài tập trắc nghiệm Lượng giác lớp 11 có lời giải (P2)
25 câu hỏi4 lượt thi
QuizToán - Lớp 11
93 Bài tập trắc nghiệm Lượng giác lớp 11 có lời giải (P1)
25 câu hỏi4 lượt thi
QuizToán - Lớp 11
100 câu trắc nghiệm Đường thẳng - Mặt phẳng trong không gian (P4)
25 câu hỏi7 lượt thi
QuizToán - Lớp 11
100 câu trắc nghiệm Đường thẳng - Mặt phẳng trong không gian (P3)
25 câu hỏi8 lượt thi
QuizToán - Lớp 11
100 câu trắc nghiệm Đường thẳng - Mặt phẳng trong không gian (P2)
25 câu hỏi7 lượt thi
QuizToán - Lớp 11
100 câu trắc nghiệm Đường thẳng - Mặt phẳng trong không gian (P1)
25 câu hỏi9 lượt thi
QuizToán - Lớp 11
70 câu trắc nghiệm Dãy số, Cấp số cộng, Cấp số nhân cơ bản (P3)
28 câu hỏi7 lượt thi























