Lớp
Lớp 1Lớp 2Lớp 3Lớp 4Lớp 5Lớp 6Lớp 7Lớp 8Lớp 9Lớp 10Lớp 11Lớp 12Tốt nghiệp THPTÔn vào 6Ôn vào 10Môn
- Toán
- Đề thi thử Toán Tốt nghiệp THPT 2025-2026
- (2025 mới) Đề ôn thi tốt nghiệp THPT Toán
- 20 Đề thi thử Tốt nghiệp THPT Toán năm 2025
- 50 Đề ôn thi Toán Tốt nghiệp năm 2025
- (2025) Tổng ôn Toán ôn thi tốt nghiệp có đáp án
- 1000+ bài tập tổng ôn môn Toán 12 có lời giải
- 20 Đề ôn thi Tốt nghiệp THPT Toán năm 2024
- Ôn trắc nghiệm Toán thi Tốt nghiệp THPT năm 2024
- 9 Đề thi thử THPT Quốc gia Toán năm 2023
- 4 Đề thi thử THPT Quốc gia Toán năm 2022
- 1068 Đề thi thử Tốt nghiệp THPT Toán các năm trước
- Đề thi thử THPT môn Toán năm 2024
QuizToán - Tốt nghiệp THPT
Đè thi thử THPTQG môn Toán cực hay mới nhất có lời giải (đề số 12)
25 câu hỏi8 lượt thi
QuizToán - Tốt nghiệp THPT
Tổng hợp 20 đề thi thử THPT quốc gia môn Toán cực hay có lời giải chi tiết (Đề số 11)
48 câu hỏi3 lượt thi
QuizToán - Tốt nghiệp THPT
Tổng hợp 25 đề luyện thi THPTQG môn Toán chọn lọc, cực hay có đáp án (đề 16)
50 câu hỏi8 lượt thi
QuizToán - Tốt nghiệp THPT
Tổng hợp 20 đề thi thử THPTQG môn Toán cực hay có đáp án (đề 8)
50 câu hỏi3 lượt thi
QuizToán - Tốt nghiệp THPT
Tuyển chọn đề thi thử THPTQG môn Toán cực hay, chọn lọc (đề 13)
50 câu hỏi3 lượt thi
QuizToán - Tốt nghiệp THPT
Tuyển chọn đề thi thử THPTQG môn Toán cực hay, chọn lọc (đề 12)
50 câu hỏi3 lượt thi
QuizToán - Tốt nghiệp THPT
Tuyển chọn đề thi thử THPTQG môn Toán cực hay, chọn lọc (đề 11)
50 câu hỏi3 lượt thi
QuizToán - Tốt nghiệp THPT
Đè thi thử THPTQG môn Toán cực hay mới nhất có lời giải (đề số 11)
50 câu hỏi7 lượt thi
QuizToán - Tốt nghiệp THPT
Đè thi thử THPTQG môn Toán cực hay mới nhất có lời giải (đề số 10)
26 câu hỏi4 lượt thi
QuizToán - Tốt nghiệp THPT
Tổng hợp 25 đề luyện thi THPTQG môn Toán chọn lọc, cực hay có đáp án (đề 15)
50 câu hỏi7 lượt thi
QuizToán - Tốt nghiệp THPT
Tổng hợp 20 đề thi thử THPT quốc gia môn Toán cực hay có lời giải chi tiết (Đề số 10)
50 câu hỏi3 lượt thi
QuizToán - Tốt nghiệp THPT
Tổng hợp 25 đề thi thử thpt quốc gia môn Toán cực hay, chọn lọc có lời giải (Đề số 25)
50 câu hỏi5 lượt thi
QuizToán - Tốt nghiệp THPT
Tổng hợp đề thi thử THPTQG môn Tóan cực hay chọn lọc, có lời giải chi tiết (đề số 20)
50 câu hỏi3 lượt thi
QuizToán - Tốt nghiệp THPT
Tổng hợp đề thi thử THPTQG môn Tóan cực hay chọn lọc, có lời giải chi tiết (đề số 19)
50 câu hỏi3 lượt thi
QuizToán - Tốt nghiệp THPT
Tổng hợp đề thi thử THPTQG môn Tóan cực hay chọn lọc, có lời giải chi tiết (đề số 18)
50 câu hỏi5 lượt thi
QuizToán - Tốt nghiệp THPT
Tổng hợp đề thi thử THPTQG môn Tóan cực hay chọn lọc, có lời giải chi tiết (đề số 17)
50 câu hỏi6 lượt thi
QuizToán - Tốt nghiệp THPT
Tổng hợp đề thi thử THPTQG môn Tóan cực hay chọn lọc, có lời giải chi tiết (đề số 16)
50 câu hỏi3 lượt thi
QuizToán - Tốt nghiệp THPT
Đè thi thử THPTQG môn Toán cực hay mới nhất có lời giải (đề số 9)
50 câu hỏi3 lượt thi
QuizToán - Tốt nghiệp THPT
Đè thi thử THPTQG môn Toán cực hay mới nhất có lời giải (đề số 8)
20 câu hỏi3 lượt thi
QuizToán - Tốt nghiệp THPT
Tổng hợp đề thi thử THPTQG môn Tóan cực hay chọn lọc, có lời giải chi tiết (đề số 15)
50 câu hỏi3 lượt thi
QuizToán - Tốt nghiệp THPT
Tổng hợp đề thi thử THPTQG môn Tóan cực hay chọn lọc, có lời giải chi tiết (đề số 14)
50 câu hỏi5 lượt thi
QuizToán - Tốt nghiệp THPT
Đề 15
50 câu hỏi6 lượt thi
QuizToán - Tốt nghiệp THPT
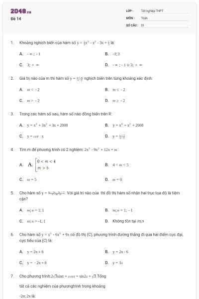
Đề 14
51 câu hỏi5 lượt thi
QuizToán - Tốt nghiệp THPT
Đề 13
50 câu hỏi3 lượt thi























