Quy đồng mẫu thức nhiều phân thức
Đề thiToán - Lớp 8
7 câu Trắc nghiệm Toán 8 Bài 4: Quy đồng mẫu thức nhiều phân thức có đáp án (Vận dụng)
7 câu hỏi44 lượt thi
Đề thiToán - Lớp 8
10 câu Trắc nghiệm Toán 8 Bài 4: Quy đồng mẫu thức nhiều phân thức có đáp án (Thông hiểu)
10 câu hỏi49 lượt thi
Đề thiToán - Lớp 8
9 câu Trắc nghiệm Toán 8 Bài 4: Quy đồng mẫu thức nhiều phân thức có đáp án (Nhận biết)
9 câu hỏi34 lượt thi
Đề thiToán - Lớp 8
Bài tập Toán 8: Quy đồng mẫu thức nhiều phân thức
15 câu hỏi35 lượt thi
Đề thiToán - Lớp 8
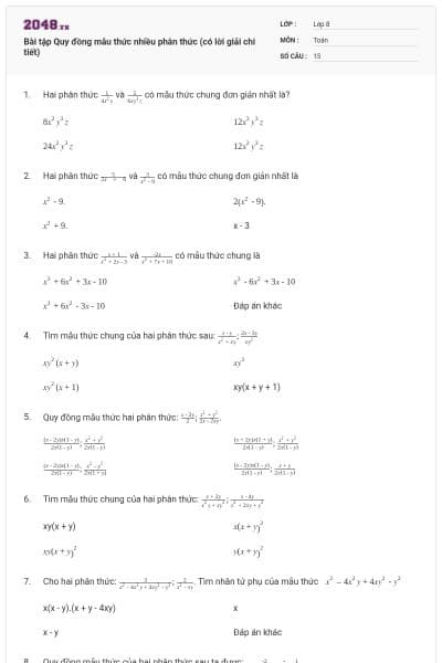
Bài tập Quy đồng mẫu thức nhiều phân thức (có lời giải chi tiết)
15 câu hỏi29 lượt thi





