QuizToán - Lớp 12
Bài tập Hình học không gian trong đề thi Đại học 2017 có lời giải (P13)
40 câu hỏi2 lượt thi
QuizToán - Lớp 12
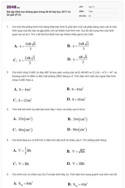
Bài tập Hình học không gian trong đề thi Đại học 2017 có lời giải (P12)
40 câu hỏi2 lượt thi
QuizToán - Lớp 12
210 câu trắc nghiệm Hình học không gian cực hay có lời giải (P2)
30 câu hỏi2 lượt thi
QuizToán - Lớp 12
Bài tập Hình học không gian trong đề thi Đại học 2017 có lời giải (P11)
40 câu hỏi2 lượt thi
QuizToán - Lớp 12
Bài tập Hình học không gian trong đề thi Đại học 2017 có lời giải (P10)
40 câu hỏi2 lượt thi
QuizToán - Lớp 12
Tuyển tập Bài tập Hình học không gian ôn thi THPT Quốc gia có lời giải (P2)
30 câu hỏi2 lượt thi
QuizToán - Lớp 12
Bài tập Hình học không gian trong đề thi Đại học 2017 có lời giải (P9)
40 câu hỏi2 lượt thi
QuizToán - Lớp 12
210 câu trắc nghiệm Hình học không gian cực hay có lời giải (P1)
30 câu hỏi2 lượt thi
QuizToán - Lớp 12
Bài tập Hình học không gian trong đề thi Đại học 2017 có lời giải (P8)
40 câu hỏi2 lượt thi
QuizToán - Lớp 12
Tuyển tập Bài tập Hình học không gian ôn thi THPT Quốc gia có lời giải (P1)
30 câu hỏi2 lượt thi
QuizToán - Lớp 12
Bài tập Hình không gian cơ bản, nâng cao ôn thi Đại học có lời giải (P1)
25 câu hỏi2 lượt thi
QuizToán - Lớp 12
Bài tập Hình học không gian trong đề thi Đại học 2017 có lời giải (P7)
40 câu hỏi2 lượt thi
QuizToán - Lớp 12
Bài tập Hình học không gian trong đề thi Đại học 2017 có lời giải (P6)
40 câu hỏi2 lượt thi
QuizToán - Lớp 12
Bài tập Hình học không gian trong đề thi Đại học 2017 có lời giải (P5)
40 câu hỏi2 lượt thi
QuizToán - Lớp 12
Bài tập Hình học không gian trong đề thi Đại học 2017 có lời giải (P4)
40 câu hỏi2 lượt thi
QuizToán - Lớp 12
Bài tập Hình học không gian trong đề thi Đại học 2017 có lời giải (P3)
40 câu hỏi2 lượt thi
QuizToán - Lớp 12
120 câu Bài tập Cực trị hàm số cơ bản, nâng cao có lời giải (P4)
30 câu hỏi10 lượt thi
QuizToán - Lớp 12
Bài tập Hình học không gian trong đề thi Đại học 2017 có lời giải (P2)
40 câu hỏi2 lượt thi
QuizToán - Lớp 12
Bài tập Hình học không gian trong đề thi Đại học 2017 có lời giải (P1)
32 câu hỏi2 lượt thi
QuizToán - Lớp 12
53 câu Bài tập về Tính đơn điệu của hàm số có lời giải (P2)
27 câu hỏi9 lượt thi
QuizToán - Lớp 12
53 câu Bài tập về Tính đơn điệu của hàm số có lời giải (P1)
26 câu hỏi8 lượt thi
QuizToán - Lớp 12
Bài tập về Đồ thị hàm số lớp 12 có lời giải (P1)
20 câu hỏi2 lượt thi
QuizToán - Lớp 12
120 câu Bài tập Cực trị hàm số cơ bản, nâng cao có lời giải (P3)
30 câu hỏi9 lượt thi
QuizToán - Lớp 12
Bài tập Điểm đặc biệt thuộc đồ thị hàm số có lời giải (P3)
19 câu hỏi2 lượt thi























