QuizToán - Lớp 12
175 câu Bài tập Số phức từ đề thi Đại học cực hay có lời giải chi tiết (P2)
25 câu hỏi7 lượt thi
QuizToán - Lớp 12
118 câu Bài tập Hình học Khối đa diện cơ bản, nâng cao có lời giải chi tiết (P3)
30 câu hỏi6 lượt thi
QuizToán - Lớp 12
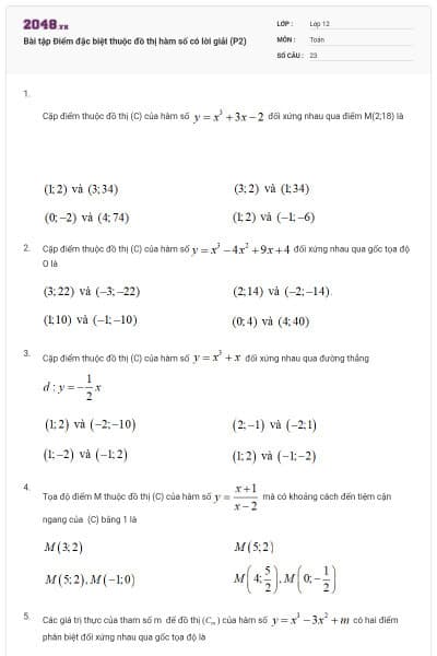
Bài tập Hàm số mức độ cơ bản, nâng cao cực hay có lời giải chi tiết(P2)
31 câu hỏi5 lượt thi
QuizToán - Lớp 12
238 câu Bài tâp Nguyên Hàm, Tích phân cơ bản, nâng cao cực hay có lời giải (P1)
25 câu hỏi5 lượt thi
QuizToán - Lớp 12
169 Bài tập Hàm số từ đề thi Đại học có lời giải chi tiết (P1)
25 câu hỏi5 lượt thi
QuizToán - Lớp 12
274 Bài tập Hình học không gian Oxyz mức độ cơ bản, nâng cao cực hay có lời giải (P3)
40 câu hỏi7 lượt thi
QuizToán - Lớp 12
204 Bài trắc nghiệm Hình học không gian Oxyz cơ bản, nâng cao cực hay có đáp án (P5)
35 câu hỏi6 lượt thi
QuizToán - Lớp 12
200 Bài tập nguyên hàm tích phân cơ bản, nâng cao (P5)
25 câu hỏi6 lượt thi
QuizToán - Lớp 12
255 Bài trắc nghiệm Hàm số mũ và Logarit cơ bản và nâng cao cực hay có lời giải (P7)
27 câu hỏi6 lượt thi
QuizToán - Lớp 12
274 Bài tập Hình học không gian Oxyz mức độ cơ bản, nâng cao cực hay có lời giải (P2)
40 câu hỏi6 lượt thi
QuizToán - Lớp 12
256 Bài tập Hàm số mũ và Logarit cực hay có lời giải chi tiết (P3)
50 câu hỏi6 lượt thi
QuizToán - Lớp 12
204 Bài trắc nghiệm Hình học không gian Oxyz cơ bản, nâng cao cực hay có đáp án (P4)
45 câu hỏi7 lượt thi
QuizToán - Lớp 12
299 Bài trắc nghiệm hàm số mũ, hàm số Logarit siêu hay có lời giải chi tiết (P8)
19 câu hỏi5 lượt thi
QuizToán - Lớp 12
Bài tập Hàm số mức độ cơ bản, nâng cao cực hay có lời giải chi tiết(P1)
30 câu hỏi5 lượt thi
QuizToán - Lớp 12
291 Bài trắc nghiệm Hàm số Cực hay có lời giải chi tiết (P5)
40 câu hỏi6 lượt thi
QuizToán - Lớp 12
175 câu Bài tập Số phức từ đề thi Đại học cực hay có lời giải chi tiết (P1)
25 câu hỏi6 lượt thi
QuizToán - Lớp 12
139 câu Bài tập Hình học mặt nón, mặt trụ, mặt cầu có đáp án (P3)
30 câu hỏi5 lượt thi
QuizToán - Lớp 12
191 câu Bài tập số phức mức độ cơ bản, nâng cao cực hay có lời giải chi tiết(P7)
11 câu hỏi5 lượt thi
QuizToán - Lớp 12
255 Bài trắc nghiệm Hàm số mũ và Logarit cơ bản nâng cao cực hay có lời giải (P6)
27 câu hỏi6 lượt thi
QuizToán - Lớp 12
191 câu Bài tập số phức mức độ cơ bản, nâng cao cực hay có lời giải chi tiết(P6)
30 câu hỏi6 lượt thi
QuizToán - Lớp 12
191 câu Bài tập số phức mức độ cơ bản, nâng cao cực hay có lời giải chi tiết(P5)
30 câu hỏi6 lượt thi
QuizToán - Lớp 12
210 câu Bài tập Tích phân cực hay có lời giải (P9)
10 câu hỏi6 lượt thi
QuizToán - Lớp 12
200 Bài tập nguyên hàm tích phân cơ bản, nâng cao (P4)
25 câu hỏi5 lượt thi
QuizToán - Lớp 12
210 câu Bài tập Tích phân cực hay có lời giải (P8)
25 câu hỏi6 lượt thi























