Chuyên đề 2: Phân thức đại số
Đề thiToán - Lớp 8
Trắc nghiệm chuyên đề Toán 8 Chủ đề 10. Ôn tập và kiểm tra có đáp án (Đề kiểm tra 1 tiết - Đề 2)
15 câu hỏi64 lượt thi
Đề thiToán - Lớp 8
Trắc nghiệm chuyên đề Toán 8 Chủ đề 10. Ôn tập và kiểm tra có đáp án (Đề kiểm tra 1 tiết - Đề 1)
8 câu hỏi60 lượt thi
Đề thiToán - Lớp 8
Trắc nghiệm chuyên đề Toán 8 Chủ đề 10. Ôn tập và kiểm tra có đáp án
69 câu hỏi57 lượt thi
Đề thiToán - Lớp 8
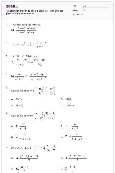
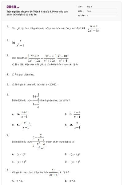
Trắc nghiệm chuyên đề Toán 8 Chủ đề 8. Phép chia các phân thức đại số có đáp án
9 câu hỏi47 lượt thi
Đề thiToán - Lớp 8
Trắc nghiệm chuyên đề Toán 8 Chủ đề 8. Phép chia các phân thức đại số có đáp án
9 câu hỏi50 lượt thi
Đề thiToán - Lớp 8
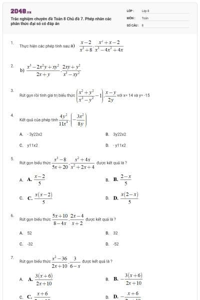
Trắc nghiệm chuyên đề Toán 8 Chủ đề 7. Phép nhân các phân thức đại số có đáp án
8 câu hỏi37 lượt thi
Đề thiToán - Lớp 8
Trắc nghiệm chuyên đề Toán 8 Chủ đề 6. Phép trừ các phân thức đại số có đáp án
9 câu hỏi41 lượt thi
Đề thiToán - Lớp 8
Trắc nghiệm chuyên đề Toán 8 Chủ đề 5. Phép cộng các phân thức đại số có đáp án
9 câu hỏi31 lượt thi
Đề thiToán - Lớp 8
Trắc nghiệm chuyên đề Toán 8 Chủ đề 4. Quy đồng mẫu thức nhiều phân thức có đáp án
6 câu hỏi45 lượt thi
Đề thiToán - Lớp 8
Trắc nghiệm chuyên đề Toán 8 Chủ đề 3. Rút gọn phân thức có đáp án
14 câu hỏi40 lượt thi
Đề thiToán - Lớp 8
Trắc nghiệm chuyên đề Toán 8 Chủ đề 2. Tính chất cơ bản của phân thức có đáp án
8 câu hỏi56 lượt thi
Đề thiToán - Lớp 8
Trắc nghiệm chuyên đề Toán 8 Chủ đề 1. Phân thức đại số có đáp án
10 câu hỏi48 lượt thi











