Vật lý Lớp 12
QuizVật lý - Lớp 12
300 Bài tập Hạt nhân nguyên tử cơ bản, nâng cao cực hay có lời giải (P3)
50 câu hỏi3 lượt thi
QuizVật lý - Lớp 12
197 Bài tập Sóng ánh sáng ôn thi THPT Quốc gia cực hay có lời giải (P3)
40 câu hỏi3 lượt thi
QuizVật lý - Lớp 12
232 Bài tập Sóng ánh sáng sát đề thi Đại học cực hay có lời giải (p4)
41 câu hỏi3 lượt thi
QuizVật lý - Lớp 12
250 Bài tập Sóng ánh sáng cơ bản, nâng cao cực hay có lời giải (P5)
43 câu hỏi3 lượt thi
QuizVật lý - Lớp 12
400 Bài tập Dòng điện xoay chiều trong đề thi thử Đại học có lời giải (không chuyên - P10)
38 câu hỏi6 lượt thi
QuizVật lý - Lớp 12
197 Bài tập Sóng ánh sáng ôn thi THPT Quốc gia cực hay có lời giải (P2)
40 câu hỏi5 lượt thi
QuizVật lý - Lớp 12
220 bài tập Hạt nhân nguyên tử trong đề thi thử Đại học có lời giải(P2)
40 câu hỏi3 lượt thi
QuizVật lý - Lớp 12
400 Bài tập Dòng điện xoay chiều trong đề thi thử Đại học có lời giải (không chuyên - P9)
40 câu hỏi3 lượt thi
QuizVật lý - Lớp 12
277 câu trắc nghiệm Dòng điện xoay chiều trong đề thi thử Đại học có lời giải (P7)
35 câu hỏi3 lượt thi
QuizVật lý - Lớp 12
250 Bài tập Sóng ánh sáng cơ bản, nâng cao cực hay có lời giải (P4)
51 câu hỏi3 lượt thi
QuizVật lý - Lớp 12
240 Bài tập Lượng tử ánh sáng trong đề thi thử Đại học cực hay có lời giải (P5)
40 câu hỏi3 lượt thi
QuizVật lý - Lớp 12
232 Bài tập Sóng ánh sáng sát đề thi Đại học cực hay có lời giải (P3)
40 câu hỏi5 lượt thi
QuizVật lý - Lớp 12
250 Bài tập Sóng ánh sáng cơ bản, nâng cao cực hay có lời giải (P3)
50 câu hỏi3 lượt thi
QuizVật lý - Lớp 12
240 Bài tập Lượng tử ánh sáng trong đề thi thử Đại học cực hay có lời giải (P4)
41 câu hỏi3 lượt thi
QuizVật lý - Lớp 12
232 Bài tập Sóng ánh sáng sát đề thi Đại học cực hay có lời giải (P2)
40 câu hỏi2 lượt thi
QuizVật lý - Lớp 12
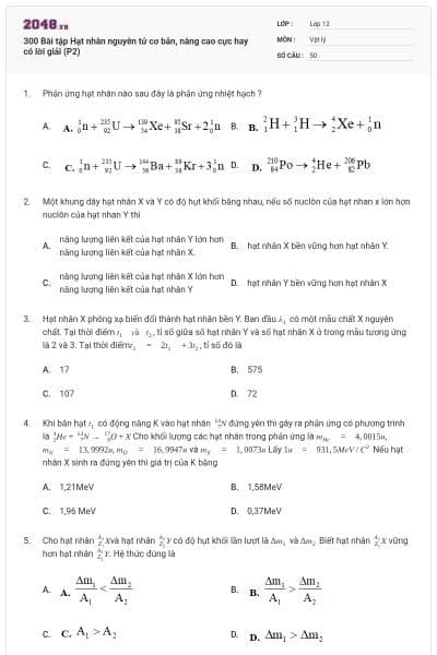
300 Bài tập Hạt nhân nguyên tử cơ bản, nâng cao cực hay có lời giải (P2)
50 câu hỏi5 lượt thi
QuizVật lý - Lớp 12
240 Bài tập Lượng tử ánh sáng trong đề thi thử Đại học cực hay có lời giải (P3)
40 câu hỏi7 lượt thi
QuizVật lý - Lớp 12
330 Bài tập Sóng cơ cơ bản, nâng cao trong đề thi thử Đại học có lời giải (P7)
40 câu hỏi3 lượt thi
QuizVật lý - Lớp 12
220 Bài tập Hạt nhân nguyên tử ôn thi THPT Quốc gia cực hay có lời giải (P1)
40 câu hỏi6 lượt thi
QuizVật lý - Lớp 12
240 Bài tập Lượng tử ánh sáng trong đề thi thử Đại học cực hay có lời giải (P2)
40 câu hỏi5 lượt thi
QuizVật lý - Lớp 12
330 Bài tập Sóng cơ cơ bản, nâng cao trong đề thi thử Đại học có lời giải (P6)
40 câu hỏi4 lượt thi
QuizVật lý - Lớp 12
400 Bài tập Dòng điện xoay chiều trong đề thi thử Đại học có lời giải (không chuyên - P8)
40 câu hỏi3 lượt thi























