Lớp
Lớp 1Lớp 2Lớp 3Lớp 4Lớp 5Lớp 6Lớp 7Lớp 8Lớp 9Lớp 10Lớp 11Lớp 12Tốt nghiệp THPTÔn vào 6Ôn vào 10Môn
- ToánToán Lớp 12 Cánh diều
- Ứng dụng đạo hàm để khảo sát và vẽ đồ thị của hàm số
- Hoạt động thực hành và trải nghiệm
- Toạ độ vectơ trong không gian
- Các số đặc trưng đo mức độ phân tán cho mẫu số liệu ghép nhóm
- Nguyên hàm. Tích phân
- Phương trình mặt phẳng, đường thẳng, mặt cầu trong không gian
- Một số yếu tố xác suất
- Chuyên đề Toán 12 Cánh diều
- Đề cương ôn tập Toán 12 - Cánh diều
- Đề thi Toán 12 - Cánh diều
Nguyên hàm. Tích phân
Đề thiToán - Lớp 12
22 câu trắc nghiệm Toán 12 Cánh diều Bài tập cuối chương IV (Đúng sai - Trả lời ngắn) có đáp án
22 câu hỏi22 lượt thi
Đề thiToán - Lớp 12
20 câu trắc nghiệm Toán 12 Cánh diều Bài 4. Ứng dụng hình học của tích phân (Đúng sai - Trả lời ngắn) có đáp án
20 câu hỏi28 lượt thi
Đề thiToán - Lớp 12
20 câu trắc nghiệm Toán 12 Cánh diều Bài 3. Tích phân (Đúng sai - Trả lời ngắn) có đáp án
20 câu hỏi32 lượt thi
Đề thiToán - Lớp 12
20 câu trắc nghiệm Toán 12 Cánh diều Bài 2. Nguyên hàm của một số hàm số sơ cấp (Đúng sai - Trả lời ngắn) có đáp án
20 câu hỏi25 lượt thi
Đề thiToán - Lớp 12
20 câu trắc nghiệm Toán 12 Cánh diều Bài 1. Nguyên hàm (Đúng sai - Trả lời ngắn) có đáp án
20 câu hỏi30 lượt thi
Đề thiToán - Lớp 12
Đề kiểm tra Toán 12 Cánh diều Chương 4 có đáp án - Đề 2
11 câu hỏi24 lượt thi
Đề thiToán - Lớp 12
Đề kiểm tra Toán 12 Cánh diều Chương 4 có đáp án - Đề 1
11 câu hỏi22 lượt thi
Đề thiToán - Lớp 12
Bài tập ôn tập Toán 12 Cánh diều Chương 4 có đáp án
55 câu hỏi22 lượt thi
Đề thiToán - Lớp 12
(Trả lời ngắn) 18 bài tập Nguyên hàm của một số hàm số sơ cấp (có lời giải)
18 câu hỏi28 lượt thi
Đề thiToán - Lớp 12
(Đúng sai) 8 bài tập Nguyên hàm của một số hàm số sơ cấp (có lời giải)
17 câu hỏi22 lượt thi
Đề thiToán - Lớp 12
64 câu trắc nghiệm Toán 12 Cánh diều Bài 2. Nguyên hàm của một số hàm số sơ cấp có đáp án - Đề 2
32 câu hỏi25 lượt thi
Đề thiToán - Lớp 12
64 câu trắc nghiệm Toán 12 Cánh diều Bài 2. Nguyên hàm của một số hàm số sơ cấp có đáp án - Đề 1
32 câu hỏi19 lượt thi
Đề thiToán - Lớp 12
15 bài tập Một số bài toán thực tế liên quan đến Nguyên hàm của một số hàm số sơ cấp (có lời giải)
15 câu hỏi33 lượt thi
Đề thiToán - Lớp 12
67 bài tập Tìm nguyên hàm của một số hàm số thường gặp (dùng bảng nguyên hàm) (có lời giải)
67 câu hỏi23 lượt thi
Đề thiToán - Lớp 12
(Trả lời ngắn) 5 bài tập Nguyên hàm (có lời giải)
3 câu hỏi28 lượt thi
Đề thiToán - Lớp 12
(Đúng sai) 6 bài tập Nguyên hàm (có lời giải)
30 câu hỏi27 lượt thi
Đề thiToán - Lớp 12
11 câu trắc nghiệm Toán 12 Cánh diều Bài 1: Nguyên hàm có đáp án
11 câu hỏi23 lượt thi
Đề thiToán - Lớp 12
6 bài tập Một số bài toán thực tế liên quan đến Nguyên hàm (có lời giải)
6 câu hỏi25 lượt thi
Đề thiToán - Lớp 12
14 bài tập Chứng minh hàm số F(x) là một nguyên hàm của f(x) trên K (có lời giải)
14 câu hỏi22 lượt thi
Đề thiToán - Lớp 12
20 câu Trắc nghiệm Toán 12 Cánh diều Bài 4. Ứng dụng hình học của tích phân có đáp án
20 câu hỏi26 lượt thi
Đề thiToán - Lớp 12
20 câu Trắc nghiệm Toán 12 Cánh diều Bài 3. Tích phân có đáp án
20 câu hỏi28 lượt thi
Đề thiToán - Lớp 12
20 câu Trắc nghiệm Toán 12 Cánh diều Bài 2. Nguyên hàm của một số hàm số sơ cấp có đáp án
20 câu hỏi21 lượt thi
Đề thiToán - Lớp 12
20 câu Trắc nghiệm Toán 12 Cánh diều Bài 1. Nguyên hàm có đáp án
20 câu hỏi29 lượt thi
Đề thiToán - Lớp 12
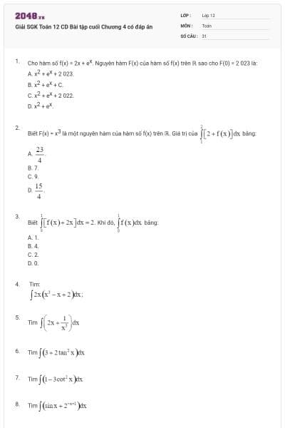
Giải SGK Toán 12 CD Bài tập cuối Chương 4 có đáp án
31 câu hỏi26 lượt thi























