Lớp
Lớp 1Lớp 2Lớp 3Lớp 4Lớp 5Lớp 6Lớp 7Lớp 8Lớp 9Lớp 10Lớp 11Lớp 12Tốt nghiệp THPTÔn vào 6Ôn vào 10Môn
-  ToánToán Lớp 11
- Hàm số lượng giác và phương trình lượng giác
 - Tổ hợp - xác suất
 - Dãy số - Cấp số cộng và cấp số nhân
 - Giới hạn
 - Đạo hàm
 - Phép dời hình và phép đồng dạng trong mặt phẳng
 - Đường thẳng và mặt phẳng trong không gian. Quan hệ song song
 - Vectơ trong không gian. Quan hệ vuông góc trong không gian
 - Trắc nghiệm tổng hợp Toán 11
 - Đề thi Toán 11
 - Bài tập Toán lớp 11 (Tự luận)
 - Chuyên đề Toán 11
 
 
Tổng hợp trắc nghiệm Toán 11 có lời giải
QuizToán - Lớp 11
93 Bài tập trắc nghiệm Lượng giác lớp 11 có lời giải (P4)
20 câu hỏi2 lượt thi
QuizToán - Lớp 11
93 Bài tập trắc nghiệm Lượng giác lớp 11 có lời giải (P3)
22 câu hỏi2 lượt thi
QuizToán - Lớp 11
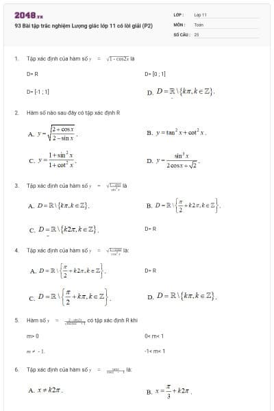
93 Bài tập trắc nghiệm Lượng giác lớp 11 có lời giải (P2)
25 câu hỏi2 lượt thi
QuizToán - Lớp 11
93 Bài tập trắc nghiệm Lượng giác lớp 11 có lời giải (P1)
25 câu hỏi2 lượt thi



